SL Paper 2
This question is about ethene, C2H4, and ethyne, C2H2.
Ethyne, like ethene, undergoes hydrogenation to form ethane. State the conditions required.
Outline the formation of polyethene from ethene by drawing three repeating units of the polymer.
Under certain conditions, ethyne can be converted to benzene.
Determine the standard enthalpy change, ΔHϴ, for the reaction stated, using section 11 of the data booklet.
3C2H2(g) → C6H6(g)
Determine the standard enthalpy change, ΔHΘ, for the following similar reaction, using ΔHf values in section 12 of the data booklet.
3C2H2(g) → C6H6(l)
Explain, giving two reasons, the difference in the values for (b)(i) and (ii). If you did not obtain answers, use −475 kJ for (i) and −600 kJ for (ii).
One possible Lewis structure for benzene is shown.

State one piece of physical evidence that this structure is incorrect.
State the characteristic reaction mechanism of benzene.
Markscheme
nickel/Ni «catalyst»
high pressure
OR
heat
Accept these other catalysts: Pt, Pd, Ir, Rh, Co, Ti.
Accept “high temperature” or a stated temperature such as “150 °C”.
[2 marks]

Ignore square brackets and “n”.
Connecting line at end of carbons must be shown.
[1 mark]
ΔHϴ = bonds broken – bonds formed
«ΔHϴ = 3(C≡C) – 6(C=C)benzene/3 × 839 – 6 × 507 / 2517 – 3042 =»
–525 «kJ»
Award [2] for correct final answer.
Award [1 max] for +525 «kJ»
Award [1 max] for:
«ΔHϴ = 3(C≡C) – 3(C–C) – 3(C=C) / 3 × 839 – 3 × 346 – 3 × 614 / 2517 – 2880 =» –363 «kJ».
[2 marks]
ΔHΘ = ΣΔHf(products) – ΣΔHf(reactants)
«ΔHΘ = 49 kJ – 3 × 228 kJ =» –635 «kJ»
Award [2] for correct final answer.
Award [1 max] for “+635 «kJ»”.
[2 marks]
ΔHf values are specific to the compound
OR
bond enthalpy values are averages «from many different compounds»
condensation from gas to liquid is exothermic
Accept “benzene is in two different states «one liquid the other gas»“ for M2.
[2 marks]
equal C–C bond «lengths/strengths»
OR
regular hexagon
OR
«all» C–C have» bond order of 1.5
OR
«all» C–C intermediate between single and double bonds
Accept “all C–C–C bond angles are equal”.
[1 mark]
electrophilic substitution
OR
SE
[1 mark]
Examiners report
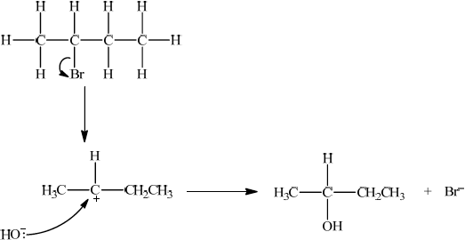
Halogenoalkanes can undergo substitution reactions with potassium hydroxide solution.
State an equation for the reaction of \({{\text{C}}_{\text{4}}}{{\text{H}}_{\text{9}}}{\text{Cl}}\) with KOH.
Draw four structural isomers of molecular formula \({{\text{C}}_{\text{4}}}{{\text{H}}_{{\text{10}}}}{\text{O}}\) which contain the –OH group.
On reaction with acidified potassium dichromate(VII), two of the isomers are oxidised in two steps to produce different products. Draw the structural formula of the two products formed from one of the isomers.
A third isomer is oxidized in one step. Draw the structural formula of the organic product formed.
State the colour change that takes place in these oxidation reactions.
Identify the isomer which resists oxidation by acidified potassium dichromate(VI).
Markscheme
\({{\text{C}}_{\text{4}}}{{\text{H}}_{\text{9}}}{\text{Cl}} + {\text{KOH}} \to {{\text{C}}_{\text{4}}}{{\text{H}}_{\text{9}}}{\text{OH}} + {\text{KCl}}\);
;
;
;
;
Penalise missing H atoms once only.
Accept correct condensed structural formulas.
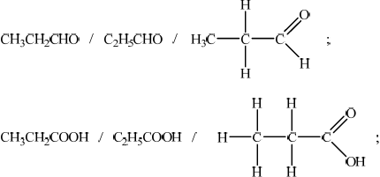
CH3–CH2–CH2–CHO / (CH3)2CHCHO ;
CH3–CH2–CH2–COOH / (CH3)2CHCOOH;
CH3–CH2–CO–CH3;
orange to green;

Examiners report
This was the least popular optional question but many who chose it did very well. In (a), most candidates could write the equation in (i).
Part (b) was better answered, although common errors were drawing of identical isomers in different ways in (i) and the inclusion of an extra hydrogen atom on the carbonyl group of the ketone in (iii).
Part (b) was better answered, although common errors were drawing of identical isomers in different ways in (i) and the inclusion of an extra hydrogen atom on the carbonyl group of the ketone in (iii).
Part (b) was better answered, although common errors were drawing of identical isomers in different ways in (i) and the inclusion of an extra hydrogen atom on the carbonyl group of the ketone in (iii).
Part (b) was better answered, although common errors were drawing of identical isomers in different ways in (i) and the inclusion of an extra hydrogen atom on the carbonyl group of the ketone in (iii).
Part (b) was better answered, although common errors were drawing of identical isomers in different ways in (i) and the inclusion of an extra hydrogen atom on the carbonyl group of the ketone in (iii).
Alkenes are an economically and chemically important family of organic compounds.
The reaction of alkenes with bromine water provides a test for unsaturation in the laboratory. Describe the colour change when bromine water is added to chloroethene.
Deduce the Lewis structure of chloroethene and identify the formula of the repeating unit of the polymer poly(chloroethene).
(i) Deduce the structural formulas of the two alcohol isomers of molecular formula \({{\text{C}}_{\text{3}}}{{\text{H}}_{\text{8}}}{\text{O}}\). Name each isomer and identify each as either a primary or a secondary alcohol.
(ii) Oxidation of the alcohol isomers lead to the formation of different organic products. Determine the structures of the organic products formed from the oxidation of each alcohol isomer in (c) (i) above and list the conditions required to obtain the different products.
Markscheme
colour change from yellow/orange/rust colour/red/brown to colourless;
No mark for change to clear, or for decolourized with no reference to original colour.
Chloroethene:
;
No mark if the lone pairs missing on Cl.
Accept lines, dots or crosses for e– pairs.
Poly(chloroethene):
;
n and square brackets are not required.
Continuation bonds must be shown.
(i) \({\text{C}}{{\text{H}}_3}{\text{C}}{{\text{H}}_2}{\text{C}}{{\text{H}}_2}{\text{OH}}\), propan-1-ol/1-propanol;
\({\text{C}}{{\text{H}}_3}{\text{CH(OH)C}}{{\text{H}}_3}\), propan-2-ol/2-propanol;
Need both formula and name for mark.
Accept either condensed or full structural formulas.
CH3CH2CH2OH: primary and CH3CH(OH)CH3: secondary;
(ii) \({\text{C}}{{\text{H}}_3}{\text{C}}{{\text{H}}_2}{\text{CHO}}\);
\({\text{C}}{{\text{H}}_3}{\text{C}}{{\text{H}}_2}{\text{COOH}}\);
\({\text{C}}{{\text{H}}_3}{\text{COC}}{{\text{H}}_3}\);
Accept either condensed or full structural formulas.
from propan-1-ol: \({\text{C}}{{\text{H}}_3}{\text{C}}{{\text{H}}_2}{\text{CHO}}\) (propanal) obtained by distillation (as product is formed);
propan-1-ol gives \({\text{C}}{{\text{H}}_3}{\text{C}}{{\text{H}}_2}{\text{COOH}}\) (propanoic acid) by (heating under) reflux;
Award [1] if CH3CH2CHO and CH3CH2COOH identified but conditions not
given/incorrect.
propan-2-ol gives \({\text{C}}{{\text{H}}_3}{\text{COC}}{{\text{H}}_3}\) by (heating under) reflux;
Examiners report
Although this was the least popular question it was generally accessible with candidates often scoring high marks. The colour change when bromine water is added to an alkene was well answered by most candidates although some either did not state the colour of bromine or stated that it becomes clear, rather than colourless.
Most candidates deduced the correct Lewis structure of chloroethene although some did not include the lone electron pairs on the Cl atom. The formula of the repeating unit of the polymer poly(chloroethene) was generally done well.
(c) was generally well answered.
The most common error in (c) (i) was just giving ‘propanol’ with no reference to the position of the OH group. The structures of the organic products were well known although the experimental conditions needed to extract the products were less familiar.
Alkenes, alcohols and esters are three families of organic compounds with many commercial uses.
Esters are often used in perfumes. Analysis of a compound containing the ester functional group only, gives a percentage composition by mass of C: 62.0% and H: 10.4%.
State the meaning of the term structural isomers.
X is an isomer of C4H8 and has the structural formula shown below.

Apply IUPAC rules to name this isomer. Deduce the structural formulas of two other isomers of C4H8.
State the balanced chemical equation for the reaction of X with HBr to form Y.
Y reacts with aqueous sodium hydroxide, NaOH(aq), to form an alcohol, Z. Identify whether Z is a primary, secondary or tertiary alcohol.
Explain one suitable mechanism for the reaction in (v) using curly arrows to represent the movement of electron pairs.
Deduce the structural formula of the organic product formed when Z is oxidized by heating under reflux with acidified potassium dichromate(VI) and state the name of the functional group of this organic product.
Draw the ester functional group.
Determine the empirical formula of the ester, showing your working.
The molar mass of the ester is \({\text{116.18 g}}\,{\text{mo}}{{\text{l}}^{ - 1}}\). Determine its molecular formula.
Markscheme
compounds with the same molecular formula but different arrangement of atoms/structural formula/structures;
Do not allow similar instead of same.
(cis-)but-2-ene / (Z)but-2-ene / but-2-ene;
Accept (cis-)2-butene / Z-2-butene.
Ignore missing hyphens.
CH3CH2CH=CH2;
H2C=C(CH3)2;
Accept either full or condensed structural formulas.
Allow structural formula of trans-but-2-ene.
(CH3)CH=CH(CH3) + HBr \( \to \) CH3CHBrCH2CH3;
Allow C4H8 + HBr \( \to \) C4H9Br.
secondary/ 2°;
Since secondary could be either SN1 or SN2 so allow SN1 or SN2 for M1–M4.
SN1:

curly arrow showing Br leaving;
Do not allow arrow originating from C to C–Br bond.
representation of secondary carbocation;
curly arrow going from lone pair/negative charge on O in HO– to C+;
Do not allow arrow originating on H in HO–.
formation of organic product CH3CH(OH)C2H5/C4H9OH and Br–;
Allow formation of NaBr instead of Br–.
OR
SN2:

curly arrow going from lone pair/negative charge on O in HO– to C;
Do not allow curly arrow originating on H in HO–.
curly arrow showing Br leaving;
Accept curly arrow either going from bond between C and Br to Br in 2-bromobutane or in the transition state.
Do not allow arrow originating from C to C–Br bond.
representation of transition state showing negative charge, square brackets and partial bonds;
Do not penalize if HO and Br are not at 180° to each other.
Do not award M3 if OH ---- C bond is represented.
formation of organic product CH3CH(OH)C2H5/C4H9OH and Br–;
Allow formation of NaBr instead of Br–.
For primary Z from (v), for ECF SN2 required.
For tertiary Z from (v), for ECF SN1 required.
But curly arrow showing Br leaving and formation of C4H9OH and Br– can be scored for either mechanism (even if incorrect type).
For primary Z from (v) with 1-bromobutane stated in (vi), correct SN2 can score full marks.
If (v) is not answered and incorrect starting reagent is given in (vi), M1, M2 and M3 may be scored but not M4 for either correct SN1 or SN2.
CH3COCH2CH3;
Full or condensed structural formula may be given.
For primary Z from (v), accept CH3CH2CH2COOH/C3H7COOH but not CH3CH2CH2CHO.
ketone / alkanone;
drawing of \({\text{RCOOR'}}\) group / 
Allow C instead of R or \(R'\).
Allow 
\((100 - 62.0 - 10.4 = ){\text{ }}27.6\% {\text{ O}}\);
\({n_C}:\left( {\frac{{62.0}}{{12.01}} = } \right){\text{ }}5.162{\text{ (mol)}}\) and \({n_H}:\left( {\frac{{10.4}}{{1.01}} = } \right){\text{ }}10.297{\text{ (mol)}}\)
and \({n_O}:\left( {\frac{{27.6}}{{16.00}} = } \right){\text{ }}1.725{\text{ (mol)}}\);
dividing 5.162 and 10.297 by 1.725 (to get values \({{\text{C}}_{{\text{2.992}}}}{{\text{H}}_{{\text{5.969}}}}{{\text{O}}_{\text{1}}}\));
(empirical formula =) \({{\text{C}}_3}{{\text{H}}_6}{\text{O}}\);
Award [4] for correct final answer if alternative method used.
Allow integer values for atomic masses (i.e. 12, 1 and 16).
C6H12O2;
Examiners report
Meaning of the term structural isomers was well defined with the weaker candidates referring to similar instead of same molecular formula but different arrangement of atoms.
Many candidates stated the IUPAC name of the isomers of C4H8 and deduced correctly the structural formulas of the two other isomers.
Most candidates were able to write the chemical equation for the reaction of the isomer of C4H8 with HBr and identify the alcohol formed by the reaction of that product with NaOH.
In part (a) (v), the mechanisms proved a problem for majority of candidates.
The use of curly arrows in reaction mechanisms continues to be poorly understood, the arrow often pointing in the wrong direction. Candidates must take care to accurately draw the position of the curly arrows illustrating the movement of electrons.
In part (b), the ester functional group was drawn correctly and it was pleasing to see that the majority of candidates handled the calculation of the empirical and molecular formulas extremely well.
In part (b), the ester functional group was drawn correctly and it was pleasing to see that the majority of candidates handled the calculation of the empirical and molecular formulas extremely well.
In part (b), the ester functional group was drawn correctly and it was pleasing to see that the majority of candidates handled the calculation of the empirical and molecular formulas extremely well.
Cortisone is a therapeutic drug whose three-dimensional structure is represented below.


P
Menthol can be used in cough medicines. The compound contains 76.84% C, 12.92% H and 10.24% O by mass.
Identify the names of two functional groups present in cortisone.
1.
2.
Draw a circle around each of these two functional groups in the structure above and label them 1 and 2 as identified in (a) (i).
Describe what is meant by the term structural isomers.
Apply IUPAC rules to state the name of P.
X is a straight-chain structural isomer of P. Draw the structure of X.

Identify a suitable catalyst used in the reaction to form R.
P, CH3CH=CHCH3, reacts with HBr to form CH3CHBrCH2CH3. Suggest one suitable mechanism for the reaction of CH3CHBrCH2CH3 with aqueous sodium hydroxide, using curly arrows to represent the movement of electron pairs.
State the structural formula of the organic product formed, S, when Q is heated under reflux with acidified potassium dichromate(VI).
Apply IUPAC rules to state the name of this product, S.
P can undergo a polymerization reaction. Draw two repeating units of the resulting polymer.
Determine its empirical formula.
Determine its molecular formula given that its molar mass is \(M = 156.30{\text{ g}}\,{\text{mo}}{{\text{l}}^{ - 1}}\).
Markscheme
alkene;
alcohol;
Allow hydroxyl (group) but not hydroxide.
ketone;
Accept carbonyl.
correctly drawn circle around each of the two functional groups and labelled
1 and 2;
Mark can be scored for (ii) without labels (1 and 2) only if no answer is given in (i).
Apply ECF from (incorrect) functional groups in (i).
compounds with same molecular formula but different arrangements of atoms;
Allow compounds with same molecular formula but different structural formulas.
but-2-ene;
Allow 2-butene.
;
Q: CH3CH(OH)CH2CH ;
R: CH3CH2CH2CH3;
Condensed or full structural formulas may be given.
platinum / palladium / nickel;
Allow Pt / Pd / Ni.
Since secondary bromoalkane could be either SN1 and SN2 so allow SN1 or SN2 for M1 –M4.
SN1:

curly arrow showing Br leaving;
Do not allow arrow originating from C to C–Br bond.
representation of secondary carbocation;
curly arrow going from lone pair/negative charge on O in HO– to C+;
Do not allow arrow originating on H in OH–.
formation of CH3CH(OH)CH2CH3 and Br–;
Allow formation of NaBr instead of Br–.
OR
SN2:

curly arrow going from lone pair/negative charge on O in HO– to C;
Do not allow curly arrow originating on H in OH–.
curly arrow showing Br leaving;
Accept curly arrow either going from bond between C and Br to Br in 2-bromobutane or in the transition state.
Do not allow arrow originating from C to C – Br bond.
representation of transition state showing negative charge, square brackets and partial bonds;
Do not penalize if HO and Br are not at 180° to each other.
Do not award M3 if OH—C bond is represented.
formation of CH3CH(OH)CH2CH3 and Br–;
Allow formation of NaBr instead of Br–.
H3CCOCH2CH3;
Condensed or full structural formula may be given.
Apply ECF from (c)(iii).
butan-2-one;
Allow 2-butanone or butanone.
representation of polymer showing two repeating units;

Brackets not necessary but continuation bonds must be given.
No penalty if methyl groups given on same side.
\({n_C}:\left( {\frac{{76.84}}{{12.01}}} \right) = 6.398{\text{ mol}}\) and \({n_H}:\left( {\frac{{12.92}}{{1.01}}} \right) = 12.79{\text{ mol}}\) and
\({n_O}:\left( {\frac{{10.24}}{{16.00}}} \right) = 0.6400{\text{ mol}}\);
Allow integer values for atomic masses.
dividing across by lowest number to give integer values;
\({{\text{C}}_{10}}{{\text{H}}_{20}}{\text{O}}\);
Award [3] for correct final answer.
(\(M{\text{(}}{{\text{C}}_{10}}{{\text{H}}_{20}}{\text{O)}} = {\text{156.30 (g}}\,{\text{mo}}{{\text{l}}^{ - 1}}{\text{)}}\), therefore empirical formula = molecular
formula =) \({{\text{C}}_{10}}{{\text{H}}_{20}}{\text{O}}\);
Examiners report
Question 7 was answered by relatively few candidates, but those who chose this question were usually well-prepared. In a) (i) and (ii) most candidates correctly identified two functional groups in cortisone, but some incorrectly named the ketone group as an aldehyde.
Question 7 was answered by relatively few candidates, but those who chose this question were usually well-prepared. In a) (i) and (ii) most candidates correctly identified two functional groups in cortisone, but some incorrectly named the ketone group as an aldehyde.
In b) the definition of isomers was reasonably well answered.
Most correctly named but-2-ene in c) (i). Some mistakenly said butene which was insufficient.
In c) (ii) most candidates drew the structure of but-1-ene although some drew the original compound.
In c) (iii) several candidates identified the product as butan-1-ol rather than butan-2-ol.
Nearly all identified butane as the second compound and correctly identified a suitable catalyst for this reaction in (c) (iv).
The mechanism required in c) (v) was either SN1 or SN2. Several candidates produced very clear, correct mechanisms. A few lost marks for incorrectly having a curly arrow from H instead of O in the nucleophile, or for neglecting to show the curly arrow showing Br leaving, or for omitting the negative charge on the transition state in SN2.
In c) (vi) some candidates thought that an aldehyde formed from oxidation of an alcohol under reflux. Error carried forward was applied if candidates had given butan-1-ol as the product in c) (iii) and then drew and named butanoic acid here.
Drawing two repeating units of the polymer made from but-2-ene caused many problems in c) (viii).
Parts d) (i) and (ii) were extremely well answered with most candidates determining the empirical and molecular formulas correctly.
Parts d) (i) and (ii) were extremely well answered with most candidates determining the empirical and molecular formulas correctly.
Benzene is an aromatic hydrocarbon.
Discuss the physical evidence for the structure of benzene.
State the typical reactions that benzene and cyclohexene undergo with bromine.
Markscheme
Any two of:
planar «X-ray»
C to C bond lengths all equal
OR
C to C bonds intermediate in length between C–C and C=C
all C–C–C bond angles equal
Accept all C to C bonds have same bond strength/bond energy.
[2 marks]
benzene: «electrophilic» substitution/SE
AND
cyclohexene: «electrophilic» addition/AE
Accept correct equations.
[1 mark]
Examiners report
Alkenes are important starting materials for a variety of products.
State and explain the trend of the boiling points of the first five members of the alkene homologous series.
Describe two features of a homologous series.
Below is a schematic diagram representing some reactions of ethene. The letters A–D represent the organic compounds formed from the reactants and catalysts shown.



Deduce the structural formulas of compounds A, B, C, and D and state the IUPAC name of compound C.

Describe a chemical test that could be used to distinguish between pent-1-ene and pentane.
State and explain whether the following molecules are primary, secondary or tertiary halogenoalkanes.



Explain, using equations, the following steps in the free-radical mechanism of the reaction of methane with chlorine.
• Initiation
• Propagation
• Termination
Markscheme
boiling points increase (from the first member to the fifth member);
increasing size of molecule/area of contact/number of electrons (from the first to the fifth member);
strength of intermolecular/van der Waals’/London/dispersion forces increase / more energy required to break the intermolecular bonds (from first member to fifth member);
same general formula;
successive members differ by \({\text{C}}{{\text{H}}_{\text{2}}}\);
same functional group / similar/same chemical properties;
gradual change in physical properties;
Accept specific physical property such as melting point, boiling point only once.

1,2-dichloroethane;

Accept condensed formulas.
Penalize missing hydrogens only once.
add bromine water/bromine;
pentane no change/stays brown and pent-1-ene decolourizes bromine water/bromine;
OR
add acidified \({\text{KMn}}{{\text{O}}_{\text{4}}}\);
pentane no change/stays purple and pent-1-ene decolourizes acidified \({\text{KMn}}{{\text{O}}_{\text{4}}}\);
Accept any correct colour change.
Do not accept ‘clear’ instead of ‘colourless’.
E: primary and F: secondary;
G: primary;
G / E: only one alkyl group/2 H atoms attached to the carbon atom attached to the Cl / only one carbon atom attached to the carbon atom attached to the Cl;
F: two alkyl groups/1 H atom attached to the carbon atom attached to the Cl / two carbon atoms attached to the carbon atom attached to the Cl;
Initiation:
\({\text{C}}{{\text{l}}_{\text{2}}}\xrightarrow{{{\text{UV}}/h/f/hv/heat}}{\text{2Cl}} \bullet \);
Reference to UV/hf/hν/heat must be included.
Propagation:
\({\text{Cl}} \bullet + {\text{C}}{{\text{H}}_{\text{4}}} \to {\text{C}}{{\text{H}}_{\text{3}}} \bullet + {\text{HCl}}\);
\({\text{C}}{{\text{H}}_{\text{3}}} \bullet + {\text{C}}{{\text{l}}_{\text{2}}} \to {\text{C}}{{\text{H}}_{\text{3}}}{\text{Cl}} + {\text{Cl}} \bullet \);
Termination:
\({\text{Cl}} \bullet + {\text{Cl}} \bullet \to {\text{C}}{{\text{l}}_{\text{2}}}{\text{ / C}}{{\text{H}}_{\text{3}}} \bullet + {\text{ Cl}} \bullet \to {\text{C}}{{\text{H}}_{\text{3}}}{\text{Cl / C}}{{\text{H}}_{\text{3}}} \bullet + {\text{C}}{{\text{H}}_{\text{3}}} \bullet \to {{\text{C}}_{\text{2}}}{{\text{H}}_6}\);
Allow representation of radical without \( \bullet \) (e.g. Cl, CH3) if consistent throughout mechanism.
If representation of radical (i.e. \( \bullet \)) is inconsistent, penalize once only.
Examiners report
Although this was the least popular Section B question it tended to be well done by those candidates who attempted it. Part (a) was generally well answered with most candidates able to achieve at least 2 out of the 3 marks. Candidates could state the trend in melting points of the first five members of the alkenes but did not always explain the trend thoroughly.
In part (b) candidates tended to be careless with the use of terminology and used structural or molecular formula rather than general formula when describing a feature of a homologous series. Many candidates also stated that compounds in a homologous series differ by \({\text{C}}{{\text{H}}_{\text{2}}}\)-group but it is successive members that differ by the \({\text{C}}{{\text{H}}_{\text{2}}}\)-group. Greater care in the use of chemical terminology is needed.
The structures in part (c) were well deduced but some candidates were very careless with naming compound C, not taking care with IUPAC nomenclature.
In part (d) candidates were able to identify the bromine test for distinguishing between the alkane and alkene but often did not correctly identify the colour change associated with pent-1-ene and incorrectly suggested that the colour of the bromine changed to clear when it should be colourless.
Part (e) was well done with the exception of identifying structure G as a primary halogenoalkane. Many candidates incorrectly identified it as a tertiary halogenalkane.
Candidates were able to explain with equations the free radical mechanism for the reaction between methane and chlorine. Candidates could only achieve the mark for the initiation step if reference was made to UV with the correct equation. Occasionally candidates incorrectly showed ions rather than radicals in the equations.
Aspirin, one of the most widely used drugs in the world, can be prepared according to the equation given below.

A student reacted some salicylic acid with excess ethanoic anhydride. Impure solid aspirin was obtained by filtering the reaction mixture. Pure aspirin was obtained by recrystallization. The following table shows the data recorded by the student.

State the names of the three organic functional groups in aspirin.
Determine the amount, in mol, of salicylic acid, \({{\text{C}}_{\text{6}}}{{\text{H}}_{\text{4}}}{\text{(OH)COOH}}\), used.
Calculate the theoretical yield, in g, of aspirin, \({{\text{C}}_{\text{6}}}{{\text{H}}_{\text{4}}}{\text{(OCOC}}{{\text{H}}_{\text{3}}}{\text{)COOH}}\).
Determine the percentage yield of pure aspirin.
State the number of significant figures associated with the mass of pure aspirin obtained, and calculate the percentage uncertainty associated with this mass.
Another student repeated the experiment and obtained an experimental yield of 150%. The teacher checked the calculations and found no errors. Comment on the result.
The following is a three-dimensional computer-generated representation of aspirin.

A third student measured selected bond lengths in aspirin, using this computer program and reported the following data.

The following hypothesis was suggested by the student: “Since all the measured carbon-carbon bond lengths are equal, all the carbon-oxygen bond lengths must also be equal in aspirin. Therefore, the C8–O4 bond length must be 1.4 \( \times \) 10–10 m”. Comment on whether or not this is a valid hypothesis.
The other product of the reaction is ethanoic acid, \({\text{C}}{{\text{H}}_{\text{3}}}{\text{COOH}}\). Define an acid according to the Brønsted-Lowry theory and state the conjugate base of \({\text{C}}{{\text{H}}_{\text{3}}}{\text{COOH}}\).
Brønsted-Lowry definition of an acid:
Conjugate base of \({\text{C}}{{\text{H}}_{\text{3}}}{\text{COOH}}\):
Markscheme
carboxylic acid / carboxyl;
ester;
Do not allow carbonyl / acid / ethanoate / formula(–COOH).
aryl group / benzene ring / phenyl;
\({M_{\text{r}}}{\text{(}}{{\text{C}}_7}{{\text{H}}_6}{{\text{O}}_3}{\text{)}} = {\text{138.13}}\);
\(n = \left( {\frac{{3.15}}{{138.13}} = } \right){\text{ }}2.28 \times {10^{ - 2}}{\text{ (mol)}}\);
Award [2] for the correct final answer.
\({M_{\text{r}}}{\text{(}}{{\text{C}}_9}{{\text{H}}_8}{{\text{O}}_4}{\text{)}} = 180.17\);
\(m = (180.17 \times 2.28 \times {10^{ - 2}} = ){\text{ }}4.11{\text{ (g)}}\);
Accept range 4.10–4.14
Award [2] for the correct final answer.
\({\text{(percentage yield}} = \frac{{2.50}}{{4.11}} \times 100 = ){\text{ }}60.8\% \);
Accept 60–61%.
3;
\({\text{(percentage uncertainty }} = \frac{{0.02}}{{2.50}} \times 100 = {\text{) }}0.80\% \);
Allow 0.8%
sample contaminated with ethanoic acid / aspirin not dry / impure sample;
Accept specific example of a systematic error.
Do not accept error in reading balance/weighing scale.
Do not accept yield greater than 100%.
hypothesis not valid/incorrect;
Accept any of the following for the second mark
C–O and C=O bond lengths will be different;
C2–O3 bond is longer than C8–O4 bond;
C8–O4 bond shorter than C2–O3 bond;
a CO single bond is longer than a CO double bond;
Accept C8–O4 is a double bond hence shorter.
Brønsted-Lowry definition of an acid
proton/H+/hydrogen ion donor;
Conjugate base of CH3COOH
\({\text{C}}{{\text{H}}_3}{\text{CO}}{{\text{O}}^ - }{\text{/C}}{{\text{H}}_3}{\text{CO}}_2^ - \);
Do not accept C2H3O2–/ethanoate.
Examiners report
In (a) Some candidates gave the correct three names of the functional groups; however some candidates gave answers such as alkene, ketone, aldehyde, ether, and carbonyl.
Candidates did not have problems determining the number of moles of salicylic acid used in (b) (i), although a few gave the answer with one significant digit only.
For (ii) the majority of candidates correctly used the value obtained in (i) to calculate the theoretical yield of aspirin.
In (iii) the percentage yield was calculated correctly in most cases.
The calculation of the percentage uncertainty (part (iv) proved to be a little more difficult, but many candidates gave the correct answer of 0.80%.
Part (v) was correctly answered by only a few candidates who stated that aspirin was contaminated or that the aspirin was not dry.
Nearly all the candidates correctly stated that the suggested hypothesis was not valid in (vi), giving the right reasons.
In (vii) most candidates gave the correct definition of an acid according to Brønsted-Lowry theory, although a few defined the acid according to Lewis theory. The conjugate base of the ethanoic acid was not always correct.
Some reactions of but-2-ene are given below.

Deduce the full structural formula of compound A.
Apply IUPAC rules to name compound A.
Describe the colour change observed when excess but-2-ene reacts with bromine to form compound A.
State the names of the reagents D and E.
(i) Outline two reasons why the polymerization of alkenes is of economic importance.
(ii) Identify the structure of the repeating unit of poly(but-2-ene).
Compound C, \({{\text{C}}_{\text{4}}}{{\text{H}}_{\text{9}}}{\text{OH}}\), can also be formed directly from compound B, \({\text{C}}{{\text{H}}_{\text{3}}}{\text{CHBrC}}{{\text{H}}_{\text{2}}}{\text{C}}{{\text{H}}_{\text{3}}}\).
(i) State the reagent and the conditions required for this reaction.
(ii) State the name of the type of reaction occurring in this conversion.
Compound C can be oxidized by acidified potassium dichromate(VI) to form compound F.
(i) State the name of the functional group present in compound F.
(ii) Deduce the structural formula of an alcohol which is a structural isomer of compound C and cannot be oxidized by acidified potassium dichromate(VI).
Explain why but-2-ene is more volatile than compound C, \({{\text{C}}_{\text{4}}}{{\text{H}}_{\text{9}}}{\text{OH}}\).
Define the term average bond enthalpy.
Deduce the equation for the complete combustion of compound C.
Determine the enthalpy change, \(\Delta H\), in \({\text{kJ}}\,{\text{mo}}{{\text{l}}^{ - 1}}\), for the complete combustion of compound C when all reactants and products are in the gaseous state, using table 10 of the data booklet.
Markscheme
;
Accept bromine atoms cis to each other.
2,3-dibromobutane;
Do not penalize the incorrect use of spaces, comma or hyphen.
red/brown/orange/yellow to colourless/decolourized;
Do not accept clear.
Do not accept just “decolourized”.
water;
sulfuric acid / phosphoric acid;
Accept formulas instead of names.
(i) (synthesis of) plastics/polymers/organic materials not naturally available / synthetic materials;
wide range of uses/physical properties / versatile;
large industry / many tons of plastics consumed by society / OWTTE;
Do not accept “useful” for M2.
Award [1 max] if specific addition polymer and its use is given.
Penalize reference to condensation polymers once only.
(ii)
;
Ignore n.
Brackets are not required for the mark, but continuation bonds are.
Do not penalize if methyl groups are trans to each other.
(i) aqueous sodium hydroxide/NaOH/potassium hydroxide/KOH and warm/heat/reflux;
(ii) (nucleophilic) substitution;
Accept (nucleophilic) displacement.
(i) carbonyl;
Accept ketone.
(ii)
;
Accept condensed or full structural formula.
hydrogen bonding in compound C;
dipole-dipole forces in C / C is more polar;
C has greater molar mass/more dispersion/London/instantaneous induced dipole-induced dipole forces/van der Waal forces;
Accept converse argument.
Award [1 max] for stronger intermolecular forces.
energy required to break (1 mol of) a (covalent) bond in a gaseous molecule/state;
Accept energy released when (1 mol of) a (covalent) bond is formed in a gaseous molecule/state / energy change when (1 mol of) bonds are formed or broken in the gaseous molecule/state.
average value in similar compounds / OWTTE;
\({{\text{C}}_4}{{\text{H}}_9}{\text{OH(l)}} + {\text{6}}{{\text{O}}_2}{\text{(g)}} \to {\text{4C}}{{\text{O}}_{\text{2}}}{\text{(g)}} + {\text{5}}{{\text{H}}_{\text{2}}}{\text{O(l)}}\);
Ignore state symbols.
Bonds broken:
3C–C + 9C–H + 1C–O + 1O–H + 6O=O /
\(3 \times 347 + 9 \times 413 + 1 \times 358 + 1 \times 464 + 6 \times 498/8568{\text{ (kJ)}}\);
Bonds formed:
8C=O + 10O–H / \(8 \times 746 + 10 \times 464/10608{\text{ (kJ)}}\);
\(\Delta H = (8568 - 10608) = - 2040{\text{ (kJ}}\,{\text{mo}}{{\text{l}}^{ - 1}}{\text{)}}\);
Award [3] for correct final answer.
Award [2] for +2040 (kJ mol–1).
Examiners report
The few who opted for this option, showed a good knowledge. The drawing of structural formulae and naming was good. The reagent and conditions for the reaction was less well recalled. In 7ci, most students scored at least one mark, but lost the second. There was a lack of awareness of the importance of the system being aqueous in the conversion to the alcohol and a fully correct answer was very rare, as was the identification of the functional group. In the volatility question, most were aware of hydrogen bonding, but the fact that C also has greater other forces due to its greater mass was not present in most answers. The gaseous mark was often present, but the averaging over a range of compounds was not. With the calculation of enthalpy quite a few candidates benefitted from transferred error, from an incorrect equation.
The few who opted for this option, showed a good knowledge. The drawing of structural formulae and naming was good. The reagent and conditions for the reaction was less well recalled. In 7ci, most students scored at least one mark, but lost the second. There was a lack of awareness of the importance of the system being aqueous in the conversion to the alcohol and a fully correct answer was very rare, as was the identification of the functional group. In the volatility question, most were aware of hydrogen bonding, but the fact that C also has greater other forces due to its greater mass was not present in most answers. The gaseous mark was often present, but the averaging over a range of compounds was not. With the calculation of enthalpy quite a few candidates benefitted from transferred error, from an incorrect equation.
The few who opted for this option, showed a good knowledge. The drawing of structural formulae and naming was good. The reagent and conditions for the reaction was less well recalled. In 7ci, most students scored at least one mark, but lost the second. There was a lack of awareness of the importance of the system being aqueous in the conversion to the alcohol and a fully correct answer was very rare, as was the identification of the functional group. In the volatility question, most were aware of hydrogen bonding, but the fact that C also has greater other forces due to its greater mass was not present in most answers. The gaseous mark was often present, but the averaging over a range of compounds was not. With the calculation of enthalpy quite a few candidates benefitted from transferred error, from an incorrect equation.
The few who opted for this option, showed a good knowledge. The drawing of structural formulae and naming was good. The reagent and conditions for the reaction was less well recalled. In 7ci, most students scored at least one mark, but lost the second. There was a lack of awareness of the importance of the system being aqueous in the conversion to the alcohol and a fully correct answer was very rare, as was the identification of the functional group. In the volatility question, most were aware of hydrogen bonding, but the fact that C also has greater other forces due to its greater mass was not present in most answers. The gaseous mark was often present, but the averaging over a range of compounds was not. With the calculation of enthalpy quite a few candidates benefitted from transferred error, from an incorrect equation.
The few who opted for this option, showed a good knowledge. The drawing of structural formulae and naming was good. The reagent and conditions for the reaction was less well recalled. In 7ci, most students scored at least one mark, but lost the second. There was a lack of awareness of the importance of the system being aqueous in the conversion to the alcohol and a fully correct answer was very rare, as was the identification of the functional group. In the volatility question, most were aware of hydrogen bonding, but the fact that C also has greater other forces due to its greater mass was not present in most answers. The gaseous mark was often present, but the averaging over a range of compounds was not. With the calculation of enthalpy quite a few candidates benefitted from transferred error, from an incorrect equation.
The few who opted for this option, showed a good knowledge. The drawing of structural formulae and naming was good. The reagent and conditions for the reaction was less well recalled. In 7ci, most students scored at least one mark, but lost the second. There was a lack of awareness of the importance of the system being aqueous in the conversion to the alcohol and a fully correct answer was very rare, as was the identification of the functional group. In the volatility question, most were aware of hydrogen bonding, but the fact that C also has greater other forces due to its greater mass was not present in most answers. The gaseous mark was often present, but the averaging over a range of compounds was not. With the calculation of enthalpy quite a few candidates benefitted from transferred error, from an incorrect equation.
The few who opted for this option, showed a good knowledge. The drawing of structural formulae and naming was good. The reagent and conditions for the reaction was less well recalled. In 7ci, most students scored at least one mark, but lost the second. There was a lack of awareness of the importance of the system being aqueous in the conversion to the alcohol and a fully correct answer was very rare, as was the identification of the functional group. In the volatility question, most were aware of hydrogen bonding, but the fact that C also has greater other forces due to its greater mass was not present in most answers. The gaseous mark was often present, but the averaging over a range of compounds was not. With the calculation of enthalpy quite a few candidates benefitted from transferred error, from an incorrect equation.
The few who opted for this option, showed a good knowledge. The drawing of structural formulae and naming was good. The reagent and conditions for the reaction was less well recalled. In 7ci, most students scored at least one mark, but lost the second. There was a lack of awareness of the importance of the system being aqueous in the conversion to the alcohol and a fully correct answer was very rare, as was the identification of the functional group. In the volatility question, most were aware of hydrogen bonding, but the fact that C also has greater other forces due to its greater mass was not present in most answers. The gaseous mark was often present, but the averaging over a range of compounds was not. With the calculation of enthalpy quite a few candidates benefitted from transferred error, from an incorrect equation.
The few who opted for this option, showed a good knowledge. The drawing of structural formulae and naming was good. The reagent and conditions for the reaction was less well recalled. In 7ci, most students scored at least one mark, but lost the second. There was a lack of awareness of the importance of the system being aqueous in the conversion to the alcohol and a fully correct answer was very rare, as was the identification of the functional group. In the volatility question, most were aware of hydrogen bonding, but the fact that C also has greater other forces due to its greater mass was not present in most answers. The gaseous mark was often present, but the averaging over a range of compounds was not. With the calculation of enthalpy quite a few candidates benefitted from transferred error, from an incorrect equation.
The few who opted for this option, showed a good knowledge. The drawing of structural formulae and naming was good. The reagent and conditions for the reaction was less well recalled. In 7ci, most students scored at least one mark, but lost the second. There was a lack of awareness of the importance of the system being aqueous in the conversion to the alcohol and a fully correct answer was very rare, as was the identification of the functional group. In the volatility question, most were aware of hydrogen bonding, but the fact that C also has greater other forces due to its greater mass was not present in most answers. The gaseous mark was often present, but the averaging over a range of compounds was not. With the calculation of enthalpy quite a few candidates benefitted from transferred error, from an incorrect equation.
The few who opted for this option, showed a good knowledge. The drawing of structural formulae and naming was good. The reagent and conditions for the reaction was less well recalled. In 7ci, most students scored at least one mark, but lost the second. There was a lack of awareness of the importance of the system being aqueous in the conversion to the alcohol and a fully correct answer was very rare, as was the identification of the functional group. In the volatility question, most were aware of hydrogen bonding, but the fact that C also has greater other forces due to its greater mass was not present in most answers. The gaseous mark was often present, but the averaging over a range of compounds was not. With the calculation of enthalpy quite a few candidates benefitted from transferred error, from an incorrect equation.
An example of a homogeneous reversible reaction is the reaction between hydrogen and iodine.
\[{{\text{H}}_{\text{2}}}{\text{(g)}} + {{\text{I}}_{\text{2}}}{\text{(g)}} \rightleftharpoons {\text{2HI(g)}}\]
Propane can be formed by the hydrogenation of propene.
\[{\text{C}}{{\text{H}}_3}{\text{CH=C}}{{\text{H}}_2}{\text{(g)}} + {{\text{H}}_2}{\text{(g)}} \to {\text{C}}{{\text{H}}_3}{\text{C}}{{\text{H}}_2}{\text{C}}{{\text{H}}_3}{\text{(g)}}\]
Outline the characteristics of a homogeneous chemical system that is in a state of equilibrium.
Deduce the expression for the equilibrium constant, \({K_{\text{c}}}\).
Predict what would happen to the position of equilibrium and the value of \({K_{\text{c}}}\) if the pressure is increased from 1 atm to 2 atm.
The value of \({K_{\text{c}}}\) at 500 K is 160 and the value of \({K_{\text{c}}}\) at 700 K is 54. Deduce what this information tells us about the enthalpy change of the forward reaction.
The reaction can be catalysed by adding platinum metal. State and explain what effect the addition of platinum would have on the value of the equilibrium constant.
State the conditions necessary for the hydrogenation reaction to occur.
Enthalpy changes can be determined using average bond enthalpies. Define the term average bond enthalpy.
Determine a value for the hydrogenation of propene using information from Table 10 of the Data Booklet.
Explain why the enthalpy of hydrogenation of propene is an exothermic process.
Describe a chemical test that could be used to distinguish between propane and propene. In each case state the result of the test.
Under certain conditions propene can polymerize to form poly(propene). State the type of polymerization taking place and draw a section of the polymer to represent the repeating unit.
Other than polymerization, state one reaction of alkenes which is of economic importance.
Markscheme
reactants and products in same phase/state;
rate of forward reaction = rate of reverse reaction;
concentrations of reactants and products remain constant / macroscopic properties remain constant;
Do not accept concentrations are equal.
\(({K_{\text{c}}}) = \frac{{{{{\text{[HI]}}}^{\text{2}}}}}{{{\text{[}}{{\text{H}}_{\text{2}}}{\text{][}}{{\text{I}}_{\text{2}}}{\text{]}}}}\);
no change to position of equilibrium;
no change to value of \({K_{\text{c}}}\);
the reaction is exothermic/heat is given out/ \(\Delta H\) is negative;
no effect (on the value of the equilibrium constant);
as it speeds up forward and reverse reaction / concentrations of reactants and products do not change / position of equilibrium does not change / no change in yield;
nickel / platinum / paladium;
150 − 200 °C/ heat;
Accept temperatures in this range.
Accept room temperature as an answer if platinum or palladium used.
the enthalpy change when (one mole of) the gaseous bond is broken (or formed) / \({\text{X}}–{\text{Y(g)}} \to {\text{X(g)}} + {\text{Y(g)}}/{\text{X(g)}} + {\text{Y(g)}} \to {\text{X}}–{\text{Y(g)}}\);
averaged for the same bond in a number of similar compounds / OWTTE;
energy in: C=C + H–H and energy out: C–C + 2C–H;
Accept energy in C–C + 6C–H + C=C + H–H and energy out 2C–C + 8C–H.
\(\Delta H = (612 + 436) - (347 + 826) = 1048 - 1173/ - 125{\text{ (kJ}}\,{\text{mo}}{{\text{l}}^{ - 1}}{\text{)}}\);
Award [2] for correct final answer.
Award [1] for +125.
If old Data Booklet values then allow: \(\Delta H = \) 1048−1172 = −124 (kJ\(\,\)mol–1)
due to the relative strength of the C–C and 2C–H bonds compared to the C=C and H–H bonds / bonds in products stronger than bonds in reactants;
(i) addition of bromine/bromine water;
the bromine colour remains with propane and propene decolourizes the bromine / solution changes from brown to colourless;
Do not accept “clear” instead of “colourless”.
addition (polymerization);
−(−CH(\({\text{C}}{{\text{H}}_{\text{3}}}\))−\({\text{C}}{{\text{H}}_{\text{2}}}\)−)− / −CH(\({\text{C}}{{\text{H}}_{\text{3}}}\))CH−;
Continuation bonds necessary for mark, displayed formula or condensed structural formula can be given.
Accept if more than one repeating unit is shown.
hydrogenation (of vegetable oils) / manufacture of margarine / manufacture of ethanol / addition of water;
Accept manufacture of alcohol.
Do not accept hydrogenation of alkenes.
Examiners report
Part (a) of this question focused on equilibrium and many candidates were able to show a good understanding of what would happen when the conditions were changed and were able to deduce the equilibrium expression. Most could describe the properties of a homogeneous equilibrium but some said that concentrations of reactants and products were equal at equilibrium as opposed to constant. The candidates also could state and explain the effect of a catalyst.
Part (a) of this question focused on equilibrium and many candidates were able to show a good understanding of what would happen when the conditions were changed and were able to deduce the equilibrium expression. Most could describe the properties of a homogeneous equilibrium but some said that concentrations of reactants and products were equal at equilibrium as opposed to constant. The candidates also could state and explain the effect of a catalyst.
Part (a) of this question focused on equilibrium and many candidates were able to show a good understanding of what would happen when the conditions were changed and were able to deduce the equilibrium expression. Most could describe the properties of a homogeneous equilibrium but some said that concentrations of reactants and products were equal at equilibrium as opposed to constant. The candidates also could state and explain the effect of a catalyst.
Part (a) of this question focused on equilibrium and many candidates were able to show a good understanding of what would happen when the conditions were changed and were able to deduce the equilibrium expression. Most could describe the properties of a homogeneous equilibrium but some said that concentrations of reactants and products were equal at equilibrium as opposed to constant. The candidates also could state and explain the effect of a catalyst.
Part (a) of this question focused on equilibrium and many candidates were able to show a good understanding of what would happen when the conditions were changed and were able to deduce the equilibrium expression. Most could describe the properties of a homogeneous equilibrium but some said that concentrations of reactants and products were equal at equilibrium as opposed to constant. The candidates also could state and explain the effect of a catalyst.
Part (b) proved more problematic and relatively few could describe the necessary conditions for hydrogenation, and even fewer could correctly state a definition of average bond enthalpy. The calculation of the bond enthalpy of propene proved difficult for many and although some gained marks by ecf few obtained the correct answer -125. Candidates also had difficulty explaining why the process was exothermic in terms of the relative strengths of the bonds being made and broken.
Part (b) proved more problematic and relatively few could describe the necessary conditions for hydrogenation, and even fewer could correctly state a definition of average bond enthalpy. The calculation of the bond enthalpy of propene proved difficult for many and although some gained marks by ecf few obtained the correct answer -125. Candidates also had difficulty explaining why the process was exothermic in terms of the relative strengths of the bonds being made and broken.
Part (b) proved more problematic and relatively few could describe the necessary conditions for hydrogenation, and even fewer could correctly state a definition of average bond enthalpy. The calculation of the bond enthalpy of propene proved difficult for many and although some gained marks by ecf few obtained the correct answer -125. Candidates also had difficulty explaining why the process was exothermic in terms of the relative strengths of the bonds being made and broken.
Part (b) proved more problematic and relatively few could describe the necessary conditions for hydrogenation, and even fewer could correctly state a definition of average bond enthalpy. The calculation of the bond enthalpy of propene proved difficult for many and although some gained marks by ecf few obtained the correct answer -125. Candidates also had difficulty explaining why the process was exothermic in terms of the relative strengths of the bonds being made and broken.
Part (c) was also based in organic chemistry and although most candidates could suggest bromine as a test for unsaturation, they did not all state a correct test result.
Candidates must make sure that they state that the bromine becomes colourless and not clear. Many realised that propene polymerises by addition polymerisation but few could successfully draw the structure of the repeating unit. Also few could suggest a reaction of alkenes of economic importance- such as hydration to make alcohols.
Part (c) was also based in organic chemistry and although most candidates could suggest bromine as a test for unsaturation, they did not all state a correct test result.
Candidates must make sure that they state that the bromine becomes colourless and not clear. Many realised that propene polymerises by addition polymerisation but few could successfully draw the structure of the repeating unit. Also few could suggest a reaction of alkenes of economic importance- such as hydration to make alcohols.
Part (c) was also based in organic chemistry and although most candidates could suggest bromine as a test for unsaturation, they did not all state a correct test result.
Candidates must make sure that they state that the bromine becomes colourless and not clear. Many realised that propene polymerises by addition polymerisation but few could successfully draw the structure of the repeating unit. Also few could suggest a reaction of alkenes of economic importance- such as hydration to make alcohols.
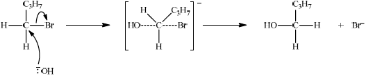
2-methylbutan-2-ol, \({{\text{(C}}{{\text{H}}_{\text{3}}}{\text{)}}_{\text{2}}}{\text{C(OH)C}}{{\text{H}}_{\text{2}}}{\text{C}}{{\text{H}}_{\text{3}}}\), is a liquid with a smell of camphor that was formerly used as a sedative. One way of producing it starts with 2-methylbut-2-ene.
2-chloro-2-methylbutane contains some molecules with a molar mass of approximately \({\text{106 g}}\,{\text{mo}}{{\text{l}}^{ - 1}}\) and some with a molar mass of approximately \({\text{108 g}}\,{\text{mo}}{{\text{l}}^{ - 1}}\).
Draw the structure of 2-methylbut-2-ene.
State the other substances required to convert 2-methylbut-2-ene to 2-methylbutan-2-ol.
Explain whether you would expect 2-methylbutan-2-ol to react with acidified potassium dichromate(VI).
Explain why 2-methylbut-2-ene is less soluble in water than 2-methylbutan-2-ol.
Outline why there are molecules with different molar masses.
Markscheme
;
Accept condensed formula such as (CH3)2CCHCH3.
water/\({{\text{H}}_{\text{2}}}{\text{O}}\);
Accept steam.
(concentrated) sulfuric acid/\({{\text{H}}_{\text{2}}}{\text{S}}{{\text{O}}_{\text{4}}}\) (catalyst);
Accept phosphoric acid/H3PO4.
Award [2] for HBr and NaOH, (2 stage process via the halogenoalkane).
not react;
tertiary alcohol (not easily oxidized);
2-methylbutan-2-ol has hydroxyl/OH group;
Do not accept “hydroxide group”.
Allow 2-methylbutan-2-ol is an alcohol.
2-methylbutan-2-ol can form H-bonds (to water) / 2-methylbut-2-ene cannot form H-bonds (to water);
chlorine can be \(^{{\text{35}}}{\text{Cl}}\)/Cl–35 or \(^{{\text{37}}}{\text{Cl}}\)/Cl–37;
Accept “chlorine can exist as two isotopes”.
Answer must refer to chlorine rather than isotopes in general.
Examiners report
This was the second most popular question answered in Section B. This question was focussed on organic chemistry and attempted by many candidates.
Most candidates were able to draw the correct structure of 2-methylbut-2-ene in part (a). In part (b), water and sulfuric acid were stated correctly as the reagents. In part (c), most candidates knew that tertiary alcohols do not react. In part (d), the most common mistake was some candidates thinking that the hydroxyl group in an alcohol was a hydrogen bond. Some other candidates could not write that the alcohol forms hydrogen bonds with water. In part (e), many candidates got \({{\text{S}}_{\text{N}}}{\text{1}}\), though an odd few candidates identified the mechanism as \({{\text{S}}_{\text{N}}}{\text{2}}\). In part (e) (ii), the mechanisms proved a problem for several candidates. The use of curly arrows in reaction mechanisms continues to be poorly understood, the arrow often pointing in the wrong direction. Candidates must take care to accurately draw the position of the curly arrows illustrating the movement of electrons. Some candidates forgot to include the lone pair for the curly arrow going from the lone pair on O to \({{\text{C}}^ + }\). Some candidates had the lone pair incorrectly located on the H and others had the curly arrow going to an atom instead of between the O and the \({{\text{C}}^ + }\). Part (iii) was well answered.
Part (f) proved challenging for candidates and very few referred to chlorines isotopes. In addition, the majority of candidates did not state that the same rate could be applied as the isotopes have the same chemical properties. In part (g), many candidates scored three out of five marks. Some candidates forgot to state that the sample is converted to the gaseous state for the vaporization stage. Many candidates although knew about detection but only few stated that the ions hit the counter and an electrical signal is generated.
This was the second most popular question answered in Section B. This question was focussed on organic chemistry and attempted by many candidates.
Most candidates were able to draw the correct structure of 2-methylbut-2-ene in part (a). In part (b), water and sulfuric acid were stated correctly as the reagents. In part (c), most candidates knew that tertiary alcohols do not react. In part (d), the most common mistake was some candidates thinking that the hydroxyl group in an alcohol was a hydrogen bond. Some other candidates could not write that the alcohol forms hydrogen bonds with water. In part (e), many candidates got \({{\text{S}}_{\text{N}}}{\text{1}}\), though an odd few candidates identified the mechanism as \({{\text{S}}_{\text{N}}}{\text{2}}\). In part (e) (ii), the mechanisms proved a problem for several candidates. The use of curly arrows in reaction mechanisms continues to be poorly understood, the arrow often pointing in the wrong direction. Candidates must take care to accurately draw the position of the curly arrows illustrating the movement of electrons. Some candidates forgot to include the lone pair for the curly arrow going from the lone pair on O to \({{\text{C}}^ + }\). Some candidates had the lone pair incorrectly located on the H and others had the curly arrow going to an atom instead of between the O and the \({{\text{C}}^ + }\). Part (iii) was well answered.
Part (f) proved challenging for candidates and very few referred to chlorines isotopes. In addition, the majority of candidates did not state that the same rate could be applied as the isotopes have the same chemical properties. In part (g), many candidates scored three out of five marks. Some candidates forgot to state that the sample is converted to the gaseous state for the vaporization stage. Many candidates although knew about detection but only few stated that the ions hit the counter and an electrical signal is generated.
This was the second most popular question answered in Section B. This question was focussed on organic chemistry and attempted by many candidates.
Most candidates were able to draw the correct structure of 2-methylbut-2-ene in part (a). In part (b), water and sulfuric acid were stated correctly as the reagents. In part (c), most candidates knew that tertiary alcohols do not react. In part (d), the most common mistake was some candidates thinking that the hydroxyl group in an alcohol was a hydrogen bond. Some other candidates could not write that the alcohol forms hydrogen bonds with water. In part (e), many candidates got \({{\text{S}}_{\text{N}}}{\text{1}}\), though an odd few candidates identified the mechanism as \({{\text{S}}_{\text{N}}}{\text{2}}\). In part (e) (ii), the mechanisms proved a problem for several candidates. The use of curly arrows in reaction mechanisms continues to be poorly understood, the arrow often pointing in the wrong direction. Candidates must take care to accurately draw the position of the curly arrows illustrating the movement of electrons. Some candidates forgot to include the lone pair for the curly arrow going from the lone pair on O to \({{\text{C}}^ + }\). Some candidates had the lone pair incorrectly located on the H and others had the curly arrow going to an atom instead of between the O and the \({{\text{C}}^ + }\). Part (iii) was well answered.
Part (f) proved challenging for candidates and very few referred to chlorines isotopes. In addition, the majority of candidates did not state that the same rate could be applied as the isotopes have the same chemical properties. In part (g), many candidates scored three out of five marks. Some candidates forgot to state that the sample is converted to the gaseous state for the vaporization stage. Many candidates although knew about detection but only few stated that the ions hit the counter and an electrical signal is generated.
This was the second most popular question answered in Section B. This question was focussed on organic chemistry and attempted by many candidates.
Most candidates were able to draw the correct structure of 2-methylbut-2-ene in part (a). In part (b), water and sulfuric acid were stated correctly as the reagents. In part (c), most candidates knew that tertiary alcohols do not react. In part (d), the most common mistake was some candidates thinking that the hydroxyl group in an alcohol was a hydrogen bond. Some other candidates could not write that the alcohol forms hydrogen bonds with water. In part (e), many candidates got \({{\text{S}}_{\text{N}}}{\text{1}}\), though an odd few candidates identified the mechanism as \({{\text{S}}_{\text{N}}}{\text{2}}\). In part (e) (ii), the mechanisms proved a problem for several candidates. The use of curly arrows in reaction mechanisms continues to be poorly understood, the arrow often pointing in the wrong direction. Candidates must take care to accurately draw the position of the curly arrows illustrating the movement of electrons. Some candidates forgot to include the lone pair for the curly arrow going from the lone pair on O to \({{\text{C}}^ + }\). Some candidates had the lone pair incorrectly located on the H and others had the curly arrow going to an atom instead of between the O and the \({{\text{C}}^ + }\). Part (iii) was well answered.
Part (f) proved challenging for candidates and very few referred to chlorines isotopes. In addition, the majority of candidates did not state that the same rate could be applied as the isotopes have the same chemical properties. In part (g), many candidates scored three out of five marks. Some candidates forgot to state that the sample is converted to the gaseous state for the vaporization stage. Many candidates although knew about detection but only few stated that the ions hit the counter and an electrical signal is generated.
This was the second most popular question answered in Section B. This question was focussed on organic chemistry and attempted by many candidates.
Most candidates were able to draw the correct structure of 2-methylbut-2-ene in part (a). In part (b), water and sulfuric acid were stated correctly as the reagents. In part (c), most candidates knew that tertiary alcohols do not react. In part (d), the most common mistake was some candidates thinking that the hydroxyl group in an alcohol was a hydrogen bond. Some other candidates could not write that the alcohol forms hydrogen bonds with water. In part (e), many candidates got \({{\text{S}}_{\text{N}}}{\text{1}}\), though an odd few candidates identified the mechanism as \({{\text{S}}_{\text{N}}}{\text{2}}\). In part (e) (ii), the mechanisms proved a problem for several candidates. The use of curly arrows in reaction mechanisms continues to be poorly understood, the arrow often pointing in the wrong direction. Candidates must take care to accurately draw the position of the curly arrows illustrating the movement of electrons. Some candidates forgot to include the lone pair for the curly arrow going from the lone pair on O to \({{\text{C}}^ + }\). Some candidates had the lone pair incorrectly located on the H and others had the curly arrow going to an atom instead of between the O and the \({{\text{C}}^ + }\). Part (iii) was well answered.
Part (f) proved challenging for candidates and very few referred to chlorines isotopes. In addition, the majority of candidates did not state that the same rate could be applied as the isotopes have the same chemical properties. In part (g), many candidates scored three out of five marks. Some candidates forgot to state that the sample is converted to the gaseous state for the vaporization stage. Many candidates although knew about detection but only few stated that the ions hit the counter and an electrical signal is generated.
Chlorine occurs in Group 7, the halogens.
Two stable isotopes of chlorine are \(^{{\text{35}}}{\text{Cl}}\) and \(^{{\text{37}}}{\text{Cl}}\) with mass numbers 35 and 37 respectively.
Chlorine has an electronegativity value of 3.2 on the Pauling scale.
Chloroethene, H2C=CHCl, the monomer used in the polymerization reaction in the manufacture of the polymer poly(chloroethene), PVC, can be synthesized in the following two-stage reaction pathway.
\[\begin{array}{*{20}{l}} {{\text{Stage 1:}}}&{{{\text{C}}_2}{{\text{H}}_4}{\text{(g)}} + {\text{C}}{{\text{l}}_2}{\text{(g)}} \to {\text{ClC}}{{\text{H}}_2}{\text{C}}{{\text{H}}_2}{\text{Cl(g)}}} \\ {{\text{Stage 2:}}}&{{\text{ClC}}{{\text{H}}_2}{\text{C}}{{\text{H}}_2}{\text{Cl(g)}} + {\text{HC=CHCl(g)}} + {\text{HCl(g)}}} \end{array}\]
Define the term isotopes of an element.
Calculate the number of protons, neutrons and electrons in the isotopes 35Cl and 37Cl.

Using the mass numbers of the two isotopes and the relative atomic mass of chlorine from Table 5 of the Data Booklet, determine the percentage abundance of each isotope.
Percentage abundance 35Cl:
Percentage abundance 37Cl:
Define the term electronegativity.
Using Table 7 of the Data Booklet, explain the trends in electronegativity values of the Group 7 elements from F to I.
State the balanced chemical equation for the reaction of potassium bromide, KBr(aq), with chlorine, Cl2(aq).
Describe the colour change likely to be observed in this reaction.
Determine the enthalpy change, \(\Delta H\), in \({\text{kJ}}\,{\text{mo}}{{\text{l}}^{ - 1}}\), for stage 1 using average bond enthalpy data from Table 10 of the Data Booklet.
State whether the reaction given in stage 1 is exothermic or endothermic.
Draw the structure of poly(chloroethene) showing two repeating units.
Suggest why monomers are often gases or volatile liquids whereas polymers are solids.
Markscheme
atoms of same element / atoms with same number of protons/atomic number/Z;
Do not allow elements instead of atoms in second alternative.
(but) different numbers of neutrons/mass number/A;

Allow [1 max] for 17 p, 17 e for both if n’s are omitted or incorrect.
Allow [1 max] for 35Cl: 18 n and 37Cl: 20 n if p’s and e’s are omitted.
\(({\text{for}}{{\text{ }}^{{\text{35}}}}{\text{Cl}}:x\% ){\text{ }}35x + 3700 - 37x = 3545\);
Allow other alternative mathematical arrangements.
\(^{{\text{35}}}{\text{Cl}} = 77.5\% \) and \(^{{\text{37}}}{\text{Cl}} = 22.5\% \);
Award [1 max] for correct percentages if no correct working is shown.
ability of atom/nucleus to attract bonding/shared pair of electrons / attraction of nucleus for bonding/shared pair of electrons / OWTTE;
Do not allow element instead of atom/nucleus.
increasing atomic radii (down the group) / OWTTE;
so reduced attraction (for the bonding electrons) / OWTTE;
screening/shielding effect of inner electrons / OWTTE;
Allow more energy levels/electron shells for M1.
Do not accept decrease in nuclear charge.
\({\text{2KBr(aq)}} + {\text{C}}{{\text{l}}_2}{\text{(aq)}} \to {\text{2KCl(aq)}} + {\text{B}}{{\text{r}}_2}{\text{(aq)}}\);
Ignore state symbols.
Allow ionic equation.
colourless/pale yellow/green to yellow/orange/brown;
Start and end colours must both be mentioned.
Bonds breaking:
1 \( \times \) (C=C) \( + \) 4 \( \times \) (C–H) \( + \) 1 \( \times \) (Cl–Cl)
\( = (1)(612) + (4)(413) + (1)(243)/ = ( + )2507{\text{ (kJ}}\,{\text{mo}}{{\text{l}}^{ - 1}}{\text{)}}\);
Bonds forming:
1 \( \times \) (C–C) \( + \) 4 \( \times \) (C–H) \( + \) 2 \( \times \) (Cl–Cl)
\( = (1)(347) + (4)(413) + (2)(346)/ = - 2691{\text{ (kJ}}\,{\text{mo}}{{\text{l}}^{ - 1}}{\text{)}}\);
Enthalpy change:
\((2507 - 2691 = ){\text{ }} - 184{\text{ (kJ}}\,{\text{mo}}{{\text{l}}^{ - 1}}{\text{)}}\);
OR
Bonds breaking:
1 \( \times \) (C=C) \( + \) 1 \( \times \) (Cl–Cl)
\( = (1)(612) + (1)(243)/ = ( + )855{\text{ (kJ}}\,{\text{mo}}{{\text{l}}^{ - 1}}{\text{)}}\);
Bonds forming:
1 \( \times \) (C–C) \( + \) 2 \( \times \) (C–Cl)
\( = (1)(347) + (2)(346)/ = - 1039{\text{ (kJ}}\,{\text{mo}}{{\text{l}}^{ - 1}}{\text{)}}\);
Enthalpy change:
\((855 - 1039 = ){\text{ }} - 184{\text{ (kJ}}\,{\text{mo}}{{\text{l}}^{ - 1}}{\text{)}}\);
Award [3] for correct final answer.
exothermic;
Do not award mark unless based on some value for part (iii).
representation of PVC showing two repeating units;
For example,

Brackets not necessary but continuation bonds must be given.
No penalty if chlorines are not on same side.
No penalty if chlorines are on two middle C atoms or on two end C atoms.
monomers are smaller molecules / monomers have smaller mass / smaller surface area than polymers;
weaker/fewer intermolecular/London/dispersion/van der Waals’ forces (of attraction);
Allow reverse argument.
Allow abbreviation for London/dispersion as FDL or for van der Waals’ as vdW.
Award zero if reference is made to breaking of bonds.
Examiners report
This was by far the most popular choice of question in Section B. Again, part a) (i) proved challenging as many candidates failed to refer to atoms in their definition and scored only 1 mark out of 2.
In a) (ii) most candidates could state the numbers of protons, neutrons and electrons in the isotopes of chlorine. Those who got this wrong gave answers which indicated a complete lack of understanding of atomic structure.
In a) (iii) some candidates remembered the percentage abundance of chlorine isotopes but could not do the calculation.
Part b) (i) required another definition. Again, many candidates lost marks for inarticulate responses.
The explanation in b) (ii) of trends in electronegativity values was reasonably well done, with most candidates scoring at least one mark out of two.
However, writing a balanced equation in b) (iii) was poorly done with many candidates not knowing the formula of KCl, and not knowing what products would be formed. This is clearly on the syllabus in 3.3.1.
Almost no-one knew the colours of aqueous chlorine and aqueous bromine in b) (iv).
In part c) (ii) the calculation of \(\Delta H\) using bond enthalpies was done well. Some candidates failed to use the C=C bond enthalpy value and some did not recall that bond breaking is endothermic and bond formation exothermic.
Nearly everyone scored a mark in c) (iii) as follow-through marks were awarded.
Drawing two repeating units of poly(chloroethene) presented difficulties in c) (iv). Some candidates tried to draw the monomers joined through the chlorine atoms.
In c) (v) most candidates scored at least one out of two for explaining why monomers have a much lower melting point than polymers.
Alkenes, such as A (shown below), are important intermediates in the petrochemical industry because they undergo addition reactions to produce a wide variety of products, such as the conversion shown below.

Another way to make B is the reaction shown below.

B can be converted into C.

In the gas phase, A reacts with hydrogen to form D.

Applying IUPAC rules, state the name of A.
State the reagent required to convert A into B.
(i) State the conditions required for this reaction to occur.
(ii) Outline why it would give a poor yield of the desired product.
(i) State the reagent required.
(ii) Explain the mechanism of this reaction, using curly arrows to represent the movement of electron pairs.
A can also be converted into C without going via B. State the reagent and conditions required.
(i) State why C is not readily oxidized by acidified potassium dichromate(VI).
(ii) Deduce the structural formula of an isomer of C that could be oxidized to a carboxylic acid by this reagent.
State the conditions required for this reaction to occur.
State the homologous series to which D belongs.
Determine the enthalpy change, in \({\text{kJ}}\,{\text{mo}}{{\text{l}}^{ - 1}}\), for the reaction of A with hydrogen, using Table 10 of the Data Booklet, and state whether the reaction is exothermic or endothermic.
The standard enthalpy change of combustion of A is \( - 4000{\text{ kJ}}\,{\text{mo}}{{\text{l}}^{ - 1}}\). Calculate the amount of A, in mol, that would have to be burned to raise the temperature of \({\text{1 d}}{{\text{m}}^{\text{3}}}\) of water from 20 °C to 100 °C.
Markscheme
2,3-dimethylbut-2-ene;
Ignore punctuation.
hydrogen bromide / hydrobromic acid / HBr;
(i) ultraviolet light/sunlight;
Accept “very high temperature”.
(ii) random/further/multiple substitution (so low probability of desired product) / would give a mixture of many different products / OWTTE;
(i) (aqueous) sodium hydroxide/NaOH / potassium hydroxide/KOH;
Accept hydroxide ion/OH–.
(ii) 
\({S_N}1\):
curly arrow from C–Br bond showing Br leaving;
representation of tertiary carbocation;
curly arrow going from lone pair/negative charge on O in \({\text{H}}{{\text{O}}^ - }\) to \({{\text{C}}^ + }\);
Do not allow arrow originating on H in HO–.
Award [2] for perfect SN2 mechanism.
Award [1] for SN2 mechanism with minor mistakes.
water / steam;
heat and acid catalyst /(concentrated) \({{\text{H}}_{\text{2}}}{\text{S}}{{\text{O}}_{\text{4}}}/{{\text{H}}_{\text{3}}}{\text{P}}{{\text{O}}_{\text{4}}}\);
(i) (it is a) tertiary/3° alcohol / carbon of C–OH is not bonded to a hydrogen;
Accept “it is not a primary or secondary alcohol”.
(ii) any \({{\text{C}}_6}{{\text{H}}_{14}}{\text{O}}\) primary alcohol / \({{\text{C}}_5}{{\text{H}}_{11}}{\text{C}}{{\text{H}}_2}{\text{OH}}\);
Ni/Pt/Pd catalyst;
alkanes;
bonds broken: (E(C=C) + E(H–H) = 612 + 436 =) \({\text{1048 (kJ}}\,{\text{mo}}{{\text{l}}^{ - 1}}{\text{)}}\);
Accept (6956 + 436 =) 7392 if all bonds in alkene broken.
bonds formed: E(C–C) + 2 \( \times \) E(C–H) = 347 + (2 \( \times \) 413) = \({\text{1173 (kJ}}\,{\text{mo}}{{\text{l}}^{ - 1}}{\text{)}}\);
Accept 7517 if all the bonds in the product are summed.
\(\Delta H = 1048 - 1173/7392 - 7517 = - 125{\text{ (kJ}}\,{\text{mo}}{{\text{l}}^{ - 1}}{\text{)}}\);
Award [3] for correct final answer.
Award [2] for +125.
exothermic;
Apply ECF if sign of \(\Delta H\) incorrect.
Do not award a mark for “exothermic” if \(\Delta H\) given as positive.
energy required to heat water \(\left( { = m \times s \times \Delta T = 1 \times 4.18 \times (100 - 20)} \right) = 334.4{\text{ }}({\text{kJ}})\);
Ignore sign of energy change.
amount required \(\frac{{334.4}}{{4000}} = 0.0836{\text{ (mol)}}\);
Award [2] for correct final answer.
Examiners report
Probably the most popular and successfully answered. Most students were family with IUPAC nomenclature and realised that UV radiation is required to initiate the halogenation of an alkane, though fewer realised that the much greater probability of forming a different isomer, or the problem of polysubstitution would result in a very low yield. The conditions for the hydrolysis of the bromoalkane were well known, though fewer recognised it as a tertiary halogenoalkane and described the \({{\text{S}}_{\text{N}}}{\text{1}}\) reaction mechanism. Only a small number of candidates were able to show the electron pair originating from C–Br bond or the lone pair on the oxygen or negative charge of the hydroxide ion. Many candidates knew that tertiary alcohols could not be oxidised and correctly drew primary structures for alcohols that could be oxidised to carboxylic acids although some made careless errors and drew secondary structures or did not answer the question and proposed aldehydes. Many candidates were able to determine the enthalpy change, from bond enthalpies but some had not read the question carefully and did not address the final mark. A significant number of candidates made small errors but still gained ECF marks as they had set their working out clearly. The calculation of the amount of fuel required to raise the temperature proved more difficult with many students overlooking the volume of water and using the data to calculate the mass of the hydrocarbon that would be heated by 80 °C by the molar enthalpy of combustion and using the specific heat capacity of water.
Probably the most popular and successfully answered. Most students were family with IUPAC nomenclature and realised that UV radiation is required to initiate the halogenation of an alkane, though fewer realised that the much greater probability of forming a different isomer, or the problem of polysubstitution would result in a very low yield. The conditions for the hydrolysis of the bromoalkane were well known, though fewer recognised it as a tertiary halogenoalkane and described the \({{\text{S}}_{\text{N}}}{\text{1}}\) reaction mechanism. Only a small number of candidates were able to show the electron pair originating from C–Br bond or the lone pair on the oxygen or negative charge of the hydroxide ion. Many candidates knew that tertiary alcohols could not be oxidised and correctly drew primary structures for alcohols that could be oxidised to carboxylic acids although some made careless errors and drew secondary structures or did not answer the question and proposed aldehydes. Many candidates were able to determine the enthalpy change, from bond enthalpies but some had not read the question carefully and did not address the final mark. A significant number of candidates made small errors but still gained ECF marks as they had set their working out clearly. The calculation of the amount of fuel required to raise the temperature proved more difficult with many students overlooking the volume of water and using the data to calculate the mass of the hydrocarbon that would be heated by 80 °C by the molar enthalpy of combustion and using the specific heat capacity of water.
Probably the most popular and successfully answered. Most students were family with IUPAC nomenclature and realised that UV radiation is required to initiate the halogenation of an alkane, though fewer realised that the much greater probability of forming a different isomer, or the problem of polysubstitution would result in a very low yield. The conditions for the hydrolysis of the bromoalkane were well known, though fewer recognised it as a tertiary halogenoalkane and described the \({{\text{S}}_{\text{N}}}{\text{1}}\) reaction mechanism. Only a small number of candidates were able to show the electron pair originating from C–Br bond or the lone pair on the oxygen or negative charge of the hydroxide ion. Many candidates knew that tertiary alcohols could not be oxidised and correctly drew primary structures for alcohols that could be oxidised to carboxylic acids although some made careless errors and drew secondary structures or did not answer the question and proposed aldehydes. Many candidates were able to determine the enthalpy change, from bond enthalpies but some had not read the question carefully and did not address the final mark. A significant number of candidates made small errors but still gained ECF marks as they had set their working out clearly. The calculation of the amount of fuel required to raise the temperature proved more difficult with many students overlooking the volume of water and using the data to calculate the mass of the hydrocarbon that would be heated by 80 °C by the molar enthalpy of combustion and using the specific heat capacity of water.
Probably the most popular and successfully answered. Most students were family with IUPAC nomenclature and realised that UV radiation is required to initiate the halogenation of an alkane, though fewer realised that the much greater probability of forming a different isomer, or the problem of polysubstitution would result in a very low yield. The conditions for the hydrolysis of the bromoalkane were well known, though fewer recognised it as a tertiary halogenoalkane and described the \({{\text{S}}_{\text{N}}}{\text{1}}\) reaction mechanism. Only a small number of candidates were able to show the electron pair originating from C–Br bond or the lone pair on the oxygen or negative charge of the hydroxide ion. Many candidates knew that tertiary alcohols could not be oxidised and correctly drew primary structures for alcohols that could be oxidised to carboxylic acids although some made careless errors and drew secondary structures or did not answer the question and proposed aldehydes. Many candidates were able to determine the enthalpy change, from bond enthalpies but some had not read the question carefully and did not address the final mark. A significant number of candidates made small errors but still gained ECF marks as they had set their working out clearly. The calculation of the amount of fuel required to raise the temperature proved more difficult with many students overlooking the volume of water and using the data to calculate the mass of the hydrocarbon that would be heated by 80 °C by the molar enthalpy of combustion and using the specific heat capacity of water.
Probably the most popular and successfully answered. Most students were family with IUPAC nomenclature and realised that UV radiation is required to initiate the halogenation of an alkane, though fewer realised that the much greater probability of forming a different isomer, or the problem of polysubstitution would result in a very low yield. The conditions for the hydrolysis of the bromoalkane were well known, though fewer recognised it as a tertiary halogenoalkane and described the \({{\text{S}}_{\text{N}}}{\text{1}}\) reaction mechanism. Only a small number of candidates were able to show the electron pair originating from C–Br bond or the lone pair on the oxygen or negative charge of the hydroxide ion. Many candidates knew that tertiary alcohols could not be oxidised and correctly drew primary structures for alcohols that could be oxidised to carboxylic acids although some made careless errors and drew secondary structures or did not answer the question and proposed aldehydes. Many candidates were able to determine the enthalpy change, from bond enthalpies but some had not read the question carefully and did not address the final mark. A significant number of candidates made small errors but still gained ECF marks as they had set their working out clearly. The calculation of the amount of fuel required to raise the temperature proved more difficult with many students overlooking the volume of water and using the data to calculate the mass of the hydrocarbon that would be heated by 80 °C by the molar enthalpy of combustion and using the specific heat capacity of water.
Probably the most popular and successfully answered. Most students were family with IUPAC nomenclature and realised that UV radiation is required to initiate the halogenation of an alkane, though fewer realised that the much greater probability of forming a different isomer, or the problem of polysubstitution would result in a very low yield. The conditions for the hydrolysis of the bromoalkane were well known, though fewer recognised it as a tertiary halogenoalkane and described the \({{\text{S}}_{\text{N}}}{\text{1}}\) reaction mechanism. Only a small number of candidates were able to show the electron pair originating from C–Br bond or the lone pair on the oxygen or negative charge of the hydroxide ion. Many candidates knew that tertiary alcohols could not be oxidised and correctly drew primary structures for alcohols that could be oxidised to carboxylic acids although some made careless errors and drew secondary structures or did not answer the question and proposed aldehydes. Many candidates were able to determine the enthalpy change, from bond enthalpies but some had not read the question carefully and did not address the final mark. A significant number of candidates made small errors but still gained ECF marks as they had set their working out clearly. The calculation of the amount of fuel required to raise the temperature proved more difficult with many students overlooking the volume of water and using the data to calculate the mass of the hydrocarbon that would be heated by 80 °C by the molar enthalpy of combustion and using the specific heat capacity of water.
Probably the most popular and successfully answered. Most students were family with IUPAC nomenclature and realised that UV radiation is required to initiate the halogenation of an alkane, though fewer realised that the much greater probability of forming a different isomer, or the problem of polysubstitution would result in a very low yield. The conditions for the hydrolysis of the bromoalkane were well known, though fewer recognised it as a tertiary halogenoalkane and described the \({{\text{S}}_{\text{N}}}{\text{1}}\) reaction mechanism. Only a small number of candidates were able to show the electron pair originating from C–Br bond or the lone pair on the oxygen or negative charge of the hydroxide ion. Many candidates knew that tertiary alcohols could not be oxidised and correctly drew primary structures for alcohols that could be oxidised to carboxylic acids although some made careless errors and drew secondary structures or did not answer the question and proposed aldehydes. Many candidates were able to determine the enthalpy change, from bond enthalpies but some had not read the question carefully and did not address the final mark. A significant number of candidates made small errors but still gained ECF marks as they had set their working out clearly. The calculation of the amount of fuel required to raise the temperature proved more difficult with many students overlooking the volume of water and using the data to calculate the mass of the hydrocarbon that would be heated by 80 °C by the molar enthalpy of combustion and using the specific heat capacity of water.
Probably the most popular and successfully answered. Most students were family with IUPAC nomenclature and realised that UV radiation is required to initiate the halogenation of an alkane, though fewer realised that the much greater probability of forming a different isomer, or the problem of polysubstitution would result in a very low yield. The conditions for the hydrolysis of the bromoalkane were well known, though fewer recognised it as a tertiary halogenoalkane and described the \({{\text{S}}_{\text{N}}}{\text{1}}\) reaction mechanism. Only a small number of candidates were able to show the electron pair originating from C–Br bond or the lone pair on the oxygen or negative charge of the hydroxide ion. Many candidates knew that tertiary alcohols could not be oxidised and correctly drew primary structures for alcohols that could be oxidised to carboxylic acids although some made careless errors and drew secondary structures or did not answer the question and proposed aldehydes. Many candidates were able to determine the enthalpy change, from bond enthalpies but some had not read the question carefully and did not address the final mark. A significant number of candidates made small errors but still gained ECF marks as they had set their working out clearly. The calculation of the amount of fuel required to raise the temperature proved more difficult with many students overlooking the volume of water and using the data to calculate the mass of the hydrocarbon that would be heated by 80 °C by the molar enthalpy of combustion and using the specific heat capacity of water.
Probably the most popular and successfully answered. Most students were family with IUPAC nomenclature and realised that UV radiation is required to initiate the halogenation of an alkane, though fewer realised that the much greater probability of forming a different isomer, or the problem of polysubstitution would result in a very low yield. The conditions for the hydrolysis of the bromoalkane were well known, though fewer recognised it as a tertiary halogenoalkane and described the \({{\text{S}}_{\text{N}}}{\text{1}}\) reaction mechanism. Only a small number of candidates were able to show the electron pair originating from C–Br bond or the lone pair on the oxygen or negative charge of the hydroxide ion. Many candidates knew that tertiary alcohols could not be oxidised and correctly drew primary structures for alcohols that could be oxidised to carboxylic acids although some made careless errors and drew secondary structures or did not answer the question and proposed aldehydes. Many candidates were able to determine the enthalpy change, from bond enthalpies but some had not read the question carefully and did not address the final mark. A significant number of candidates made small errors but still gained ECF marks as they had set their working out clearly. The calculation of the amount of fuel required to raise the temperature proved more difficult with many students overlooking the volume of water and using the data to calculate the mass of the hydrocarbon that would be heated by 80 °C by the molar enthalpy of combustion and using the specific heat capacity of water.
Probably the most popular and successfully answered. Most students were family with IUPAC nomenclature and realised that UV radiation is required to initiate the halogenation of an alkane, though fewer realised that the much greater probability of forming a different isomer, or the problem of polysubstitution would result in a very low yield. The conditions for the hydrolysis of the bromoalkane were well known, though fewer recognised it as a tertiary halogenoalkane and described the \({{\text{S}}_{\text{N}}}{\text{1}}\) reaction mechanism. Only a small number of candidates were able to show the electron pair originating from C–Br bond or the lone pair on the oxygen or negative charge of the hydroxide ion. Many candidates knew that tertiary alcohols could not be oxidised and correctly drew primary structures for alcohols that could be oxidised to carboxylic acids although some made careless errors and drew secondary structures or did not answer the question and proposed aldehydes. Many candidates were able to determine the enthalpy change, from bond enthalpies but some had not read the question carefully and did not address the final mark. A significant number of candidates made small errors but still gained ECF marks as they had set their working out clearly. The calculation of the amount of fuel required to raise the temperature proved more difficult with many students overlooking the volume of water and using the data to calculate the mass of the hydrocarbon that would be heated by 80 °C by the molar enthalpy of combustion and using the specific heat capacity of water.
Bromomethane was used as a pesticide until it was found to be ozone-depleting.
State the equation for the reaction between methane and bromine to form bromomethane.
Explain, using equations, the complete free-radical mechanism for the reaction of methane with bromine, including necessary reaction conditions.
Bromine can be produced by the electrolysis of molten sodium bromide. Deduce the half-equation for the reaction at each electrode.
Positive electrode (anode):
Negative electrode (cathode):
Bromine reacts with aqueous sodium iodide:
\[{\text{B}}{{\text{r}}_{\text{2}}}{\text{(aq)}} + {\text{2NaI(aq)}} \to {{\text{I}}_{\text{2}}}{\text{(aq)}} + {\text{2NaBr(aq)}}\]
Identify the oxidizing agent in this reaction.
Markscheme
\({\text{C}}{{\text{H}}_{\text{4}}} + {\text{B}}{{\text{r}}_{\text{2}}} \to {\text{C}}{{\text{H}}_{\text{3}}}{\text{Br}} + {\text{HBr }}\);
Initiation:
\({\text{B}}{{\text{r}}_2}\xrightarrow{{UV/hf/hv}}2{\text{BR}} \bullet \);
Reference to UV/light or high temperatures must be included.
Propagation:
\({\text{Br}} \bullet + {\text{C}}{{\text{H}}_4} \to {\text{C}}{{\text{H}}_3} \bullet + {\text{HBr}}\);
\({\text{C}}{{\text{H}}_3} \bullet + {\text{B}}{{\text{r}}_2} \to {\text{C}}{{\text{H}}_3}{\text{Br}} + {\text{Br}} \bullet \);
Termination:
Award [1 max] for any one of:
\({\text{Br}} \bullet + {\text{Br}} \bullet \to {\text{B}}{{\text{r}}_2}\);
\({\text{C}}{{\text{H}}_3} \bullet + {\text{Br}} \bullet \to {\text{C}}{{\text{H}}_3}{\text{Br}}\);
\({\text{C}}{{\text{H}}_3} \bullet + {\text{C}}{{\text{H}}_3} \bullet \to {{\text{C}}_2}{{\text{H}}_6}\);
Accept representation of radical without \( \bullet \) (eg Br, CH3) if consistent throughout mechanism.
Award [3 max] if initiation, propagation and termination are not stated or are incorrectly labelled for equations.
Positive electrode (anode):
\({\text{2B}}{{\text{r}}^ - } \to {\text{B}}{{\text{r}}_2}{\text{(g)}} + {\text{2}}{{\text{e}}^ - }/{\text{B}}{{\text{r}}^ - } \to \frac{1}{2}{\text{B}}{{\text{r}}_2}{\text{(g)}} + {{\text{e}}^ - }\);
Negative electrode (cathode):
\({\text{N}}{{\text{a}}^ + } + {{\text{e}}^ - } \to {\text{Na(l)}}\);
Award [1 max] for correct equations at incorrect electrodes.
Ignore state symbols.
Accept e instead of \({e^ - }\).
Penalize use of equilibrium signs once only.
bromine/\({\text{B}}{{\text{r}}_{\text{2}}}\);
Do not accept bromide/\(B{r^ - }\).
Examiners report
Part (a) and (b) of the question were based on the free radical substitution of methane and typical marks were 0/5 or 5/5, as it required the stating of a mechanism that has been on the syllabus and on examination papers for many years. Students generally had little idea but some had obviously learned it well. The students who gained some marks often lost marks for creating hydrogen radicals. The rest of the question was based on redox and (c) which asked for the equations at the electrodes during the electrolysis of sodium bromide was done very badly indeed. These half-equations are in the data booklet and yet very few students could come up with the correct equations. Some students had NaBr at both electrodes. However many students did correctly identify bromine as the oxidizing agent in (d).
Part (a) and (b) of the question were based on the free radical substitution of methane and typical marks were 0/5 or 5/5, as it required the stating of a mechanism that has been on the syllabus and on examination papers for many years. Students generally had little idea but some had obviously learned it well. The students who gained some marks often lost marks for creating hydrogen radicals. The rest of the question was based on redox and (c) which asked for the equations at the electrodes during the electrolysis of sodium bromide was done very badly indeed. These half-equations are in the data booklet and yet very few students could come up with the correct equations. Some students had NaBr at both electrodes. However many students did correctly identify bromine as the oxidizing agent in (d).
Part (a) and (b) of the question were based on the free radical substitution of methane and typical marks were 0/5 or 5/5, as it required the stating of a mechanism that has been on the syllabus and on examination papers for many years. Students generally had little idea but some had obviously learned it well. The students who gained some marks often lost marks for creating hydrogen radicals. The rest of the question was based on redox and (c) which asked for the equations at the electrodes during the electrolysis of sodium bromide was done very badly indeed. These half-equations are in the data booklet and yet very few students could come up with the correct equations. Some students had NaBr at both electrodes. However many students did correctly identify bromine as the oxidizing agent in (d).
Part (a) and (b) of the question were based on the free radical substitution of methane and typical marks were 0/5 or 5/5, as it required the stating of a mechanism that has been on the syllabus and on examination papers for many years. Students generally had little idea but some had obviously learned it well. The students who gained some marks often lost marks for creating hydrogen radicals. The rest of the question was based on redox and (c) which asked for the equations at the electrodes during the electrolysis of sodium bromide was done very badly indeed. These half-equations are in the data booklet and yet very few students could come up with the correct equations. Some students had NaBr at both electrodes. However many students did correctly identify bromine as the oxidizing agent in (d).
The open-chain structure of D-fructose is shown below.

State the names of two functional groups in D-fructose.
Deduce the empirical formula of D-fructose.
Calculate the percentage composition by mass of D-fructose.
State a balanced equation for the complete combustion of D-fructose.
Markscheme
hydroxyl and carbonyl;
Accept alcohol as an alternative to hydroxyl and/or ketone as an alternative to carbonyl.
Allow hydroxy, but not hydroxide as an alternative to hydroxyl.
\({\text{C}}{{\text{H}}_2}{\text{O}}\);
C: \(\left( {\frac{{12.01}}{{30.03}} \times 100 = } \right){\text{ }}39.99/40.0\% \)
H: \(\left( {\frac{{2.02}}{{30.03}} \times 100 = } \right){\text{ }}6.73/6.7\% \)
O: \(\left( {\frac{{16.00}}{{30.03}} \times 100 = } \right){\text{ }}53.28/53.3\% \);
Award [2] if all three are correct, and [1] if two are correct.
Accept if the third value is obtained by subtracting the other two percentages from 100%.
Do not penalize if integer values of relative atomic masses are used.
\({{\text{C}}_6}{{\text{H}}_{12}}{{\text{O}}_6} + {\text{6}}{{\text{O}}_2} \to {\text{6C}}{{\text{O}}_2} + {\text{6}}{{\text{H}}_2}{\text{O}}\)
correct formulas of reactants and products;
correct balancing;
M2 can only be scored if M1 correct.
Examiners report
The functional groups in fructose proved a challenge for only the weakest candidates, with mistaking the carbonyl group for “aldehyde” being the most common error. Please note that to prepare new candidates for the 2016 syllabus, the markscheme was later altered to include the correct naming of functional groups following IUPAC guidelines. Many students could also correctly convert the structural formula into an empirical formula in Part (b) and then went on to correctly determine the percentage by mass of each element in Part (c), though sometimes only with the help of ECF. Writing the correct combustion equation was difficult for only the weaker candidates.
The functional groups in fructose proved a challenge for only the weakest candidates, with mistaking the carbonyl group for “aldehyde” being the most common error. Please note that to prepare new candidates for the 2016 syllabus, the markscheme was later altered to include the correct naming of functional groups following IUPAC guidelines. Many students could also correctly convert the structural formula into an empirical formula in Part (b) and then went on to correctly determine the percentage by mass of each element in Part (c), though sometimes only with the help of ECF. Writing the correct combustion equation was difficult for only the weaker candidates.
The functional groups in fructose proved a challenge for only the weakest candidates, with mistaking the carbonyl group for “aldehyde” being the most common error. Please note that to prepare new candidates for the 2016 syllabus, the markscheme was later altered to include the correct naming of functional groups following IUPAC guidelines. Many students could also correctly convert the structural formula into an empirical formula in Part (b) and then went on to correctly determine the percentage by mass of each element in Part (c), though sometimes only with the help of ECF. Writing the correct combustion equation was difficult for only the weaker candidates.
The functional groups in fructose proved a challenge for only the weakest candidates, with mistaking the carbonyl group for “aldehyde” being the most common error. Please note that to prepare new candidates for the 2016 syllabus, the markscheme was later altered to include the correct naming of functional groups following IUPAC guidelines. Many students could also correctly convert the structural formula into an empirical formula in Part (b) and then went on to correctly determine the percentage by mass of each element in Part (c), though sometimes only with the help of ECF. Writing the correct combustion equation was difficult for only the weaker candidates.
Three compounds with similar relative molecular masses are butane, propanal and propan-1-ol.
List the three compounds in order of increasing boiling point (lowest first) and explain the differences in their boiling points.
Predict, with an explanation, which of the three compounds is least soluble or miscible in water.
When propan-1-ol is oxidized using a warm acidified solution of potassium dichromate(VI) two different organic products can be obtained. Deduce the name and structural formula for each of these two products.
Propan-2-ol is an isomer of propan-1-ol. Draw the structure of propan-2-ol.
Identify the class of alcohols that propan-2-ol belongs to and state the name of the organic product formed when it is oxidized by an acidified solution of potassium dichromate(VI).
Markscheme
butane \( < \) propanal\( < \) propan-1-ol;
butane has van der Waals/London/dispersion forces;
propanal has dipole-dipole attractive forces;
propan-1-ol has hydrogen bonding;
imf marks are independent of the order.
Treat references to bond breaking as contradictions if the imfs are correct.
butane is least soluble;
it cannot form hydrogen bonds/attractive forces with water molecules;
propanal and propanoic acid;


secondary (alcohol);
propanone / acetone;
Examiners report
For (a) (i) of those who attempted this question about half got the order correct. Those with it correct usually gave creditable explanations. With the weaker candidates the most common error was an explanation making reference to the breaking of covalent bonds rather than intermolecular forces.
In (a)(ii) most candidates identified butane as the compound but there were very few sound explanations
The oxidation products of propan-1-ol were generally given correctly by both name and structure.
The structure in (a)(iv) was usually drawn correctly.
Candidates were generally able to identify the class of alcohol and the name of the oxidation product in (a)(v), although this was sometimes referred to as propan-2-one.
The following diagram shows the three-dimensional structure of a molecule.

Apply IUPAC rules to state the name of this molecule.
Deduce the structural formula of two isomers of the molecule above with the same functional group.
Describe, using an equation, the oxidation by acidified potassium dichromate(VI) of the substance shown in the diagram. Use the symbol [O] to represent the oxidizing agent.
Markscheme
butan-2-ol/2-butanol;
\({\text{C}}{{\text{H}}_{\text{3}}}{\text{C}}{{\text{H}}_{\text{2}}}{\text{C}}{{\text{H}}_{\text{2}}}{\text{C}}{{\text{H}}_{\text{2}}}{\text{OH}}\);
\({{\text{(C}}{{\text{H}}_{\text{3}}}{\text{)}}_{\text{2}}}{\text{CHC}}{{\text{H}}_{\text{2}}}{\text{OH}}\);
\({{\text{(C}}{{\text{H}}_{\text{3}}}{\text{)}}_{\text{3}}}{\text{COH}}\);
Accept condensed or full structural formulas.
Penalise missing H atoms or incorrect bonds (such as C–HO, C–H2C) only once in the whole paper.
\({{\text{C}}_2}{{\text{H}}_5}{\text{CHOHC}}{{\text{H}}_{\text{3}}} + {\text{[O]}} \to {{\text{C}}_{\text{2}}}{{\text{H}}_{\text{5}}}{\text{COC}}{{\text{H}}_{\text{3}}} + {{\text{H}}_{\text{2}}}{\text{O}}\);
Accept condensed or full structural formulas.
Accept [O] on top of the arrow.
Do not accept equation without H2O.
Do not accept equation with H+/Cr2O72–.
Examiners report
Most candidates gave the correct name, though often but-2-anol was given.
The question was fairly well answered, though a common error was drawing butan-2-ol in different layouts.
Almost universally unsuccessful. Most students did not follow the instructions and did not use [O] for the oxidizing agent, and the few who did, did not give water as the other product.
Ethanol has many industrial uses.
(i) State an equation for the formation of ethanol from ethene and the necessary reaction conditions.
Equation:
Conditions:
(ii) Deduce the volume of ethanol, in dm3, produced from \({\text{1.5 d}}{{\text{m}}^{\text{3}}}\) of ethene, assuming both are gaseous and at the same temperature and pressure.
Define the term average bond enthalpy.
Ethanol can be used as a fuel. Determine the enthalpy of combustion of ethanol at 298 K, in \({\text{kJ}}\,{\text{mo}}{{\text{l}}^{ - 1}}\), using the values in table 10 of the data booklet, assuming all reactants and products are gaseous.
Suggest why the value of the enthalpy of combustion of ethanol quoted in table 12 of the data booklet is different to that calculated using bond enthalpies.
Explain why the reaction is exothermic in terms of the bonds involved.
Identify the homologous series to which ethanol belongs and state two features of a homologous series.
Markscheme
(i) Equation:
\({\text{C}}{{\text{H}}_{\text{2}}}{\text{C}}{{\text{H}}_{\text{2}}} + {{\text{H}}_{\text{2}}}{\text{O}} \to {\text{C}}{{\text{H}}_{\text{3}}}{\text{C}}{{\text{H}}_{\text{2}}}{\text{OH}}/{{\text{C}}_2}{{\text{H}}_4} + {{\text{H}}_2}{\text{O}} \to {{\text{C}}_2}{{\text{H}}_5}{\text{OH}}\);
Conditions:
(concentrated) sulfuric acid/\({{\text{H}}_2}{\text{S}}{{\text{O}}_{\text{4}}}\);
Do not accept dilute sulfuric acid.
Accept phosphoric acid/H3PO4 (on pellets of silicon dioxide) (for industrial preparation).
heat / high temperature;
Do not accept warm.
Accept high pressure (for industrial preparation) for M3 only if H3PO4 is given for M2.
(ii) \({\text{1.5 (d}}{{\text{m}}^{\text{3}}}{\text{)}}\);
energy needed to break (1 mol of) a bond in the gaseous state/phase;
(averaged over) similar compounds;
Do not accept “similar bonds” instead of “similar compounds”.
Concept of “similar” is important for M2.
\({\text{C}}{{\text{H}}_3}{\text{C}}{{\text{H}}_2}{\text{OH}} + {\text{3}}{{\text{O}}_2} \to {\text{2C}}{{\text{O}}_2} + {\text{3}}{{\text{H}}_2}{\text{O}}\);
Bonds broken:
\({\text{347}} + {\text{(5}} \times {\text{413)}} + {\text{358}} + {\text{464}} + {\text{(3}} \times {\text{498)}}/{\text{4728 (kJ)}}/\)
C–C + 5C–H + C–O + O–H + 3O=O;
Bonds made:
\((4 \times 746) + (6 \times 464)/5768{\text{ (kJ)}}/\) 4C=O + 6O—H;
\(\Delta H = (4728 - 5768 = ) - 1040{\text{ (kJ}}\,{\text{mo}}{{\text{l}}^{ - 1}}{\text{)}}\) / bonds broken − bonds formed;
Award [4] for correct final answer.
Award [3] for (+)1040 (kJ mol–1).
ethanol and water are liquids / not all molecules are gaseous / in enthalpy of combustion molecules are in their standard states / bond enthalpies are average values;
Do not accept answer “ethanol/water is a liquid” alone.
less energy required to break bonds in reactants than is released when the bonds in products form / bonds stronger (overall) in products/weaker (overall) in reactants;
alcohols / alkanols;
Any two of the following for [2 max]:
differ by CH2/methylene (unit);
similar chemical properties;
gradually changing physical properties;
same general formula;
same functional group;
Do not accept “same” instead of “similar”, or vice-versa.
Examiners report
This was not a popular question with few candidates choosing it. Some who chose it did very well but most scored poorly. Students needed to write an equation for the hydration of ethene which was generally answered well and then state the conditions, which were less well known. Applying Avogadro's law to work out the volume of ethanol was only correctly answered by a few. The definition for bond enthalpy was not well known, however many candidates could calculate the energy change using bond enthalpies with some success although there were few completely correct answers as bonds were forgotten or incorrectly multiplied.
This was not a popular question with few candidates choosing it. Some who chose it did very well but most scored poorly. Students needed to write an equation for the hydration of ethene which was generally answered well and then state the conditions, which were less well known. Applying Avogadro's law to work out the volume of ethanol was only correctly answered by a few. The definition for bond enthalpy was not well known, however many candidates could calculate the energy change using bond enthalpies with some success, although there were few completely correct answers as bonds were forgotten or incorrectly multiplied.
This was not a popular question with few candidates choosing it. Some who chose it did very well but most scored poorly. Students needed to write an equation for the hydration of ethene which was generally answered well and then state the conditions, which were less well known. Applying Avogadro's law to work out the volume of ethanol was only correctly answered by a few. The definition for bond enthalpy was not well known, however many candidates could calculate the energy change using bond enthalpies with some success, although there were few completely correct answers as bonds were forgotten or incorrectly multiplied.
This was not a popular question with few candidates choosing it. Some who chose it did very well but most scored poorly. Students needed to write an equation for the hydration of ethene which was generally answered well and then state the conditions, which were less well known. Applying Avogadro's law to work out the volume of ethanol was only correctly answered by a few. The definition for bond enthalpy was not well known, however many candidates could calculate the energy change using bond enthalpies with some success, although there were few completely correct answers as bonds were forgotten or incorrectly multiplied.
This was not a popular question with few candidates choosing it. Some who chose it did very well but most scored poorly. Students needed to write an equation for the hydration of ethene which was generally answered well and then state the conditions, which were less well known. Applying Avogadro's law to work out the volume of ethanol was only correctly answered by a few. The definition for bond enthalpy was not well known, however many candidates could calculate the energy change using bond enthalpies with some success, although there were few completely correct answers as bonds were forgotten or incorrectly multiplied.
This was not a popular question with few candidates choosing it. Some who chose it did very well but most scored poorly. Students needed to write an equation for the hydration of ethene which was generally answered well and then state the conditions, which were less well known. Applying Avogadro's law to work out the volume of ethanol was only correctly answered by a few. The definition for bond enthalpy was not well known, however many candidates could calculate the energy change using bond enthalpies with some success, although there were few completely correct answers as bonds were forgotten or incorrectly multiplied.
\({\text{25.0 c}}{{\text{m}}^{\text{3}}}\) of \({\text{0.200 mol}}\,{\text{d}}{{\text{m}}^{ - 3}}\) ethanoic acid were added to \({\text{30.0 c}}{{\text{m}}^{\text{3}}}\) of a \({\text{0.150 mol}}\,{\text{d}}{{\text{m}}^{ - 3}}\) sodium hydrogencarbonate solution, \({\text{NaHC}}{{\text{O}}_{\text{3}}}{\text{(aq)}}\).
The molar mass of a volatile organic liquid, X, can be determined experimentally by allowing it to vaporize completely at a controlled temperature and pressure. 0.348 g of X was injected into a gas syringe maintained at a temperature of 90 °C and a pressure of \(1.01 \times {10^5}{\text{ Pa}}\). Once it had reached equilibrium, the gas volume was measured as \({\text{95.0 c}}{{\text{m}}^{\text{3}}}\).
Bromoethane, \({\text{C}}{{\text{H}}_{\text{3}}}{\text{C}}{{\text{H}}_{\text{2}}}{\text{Br}}\), undergoes a substitution reaction to form ethanol, \({\text{C}}{{\text{H}}_{\text{3}}}{\text{C}}{{\text{H}}_{\text{2}}}{\text{OH}}\).
Outline how electrical conductivity can be used to distinguish between a \({\text{0.200 mol}}\,{\text{d}}{{\text{m}}^{ - 3}}\) solution of ethanoic acid, \({\text{C}}{{\text{H}}_{\text{3}}}{\text{COOH}}\), and a \({\text{0.200 mol}}\,{\text{d}}{{\text{m}}^{ - 3}}\) solution of hydrochloric acid, HCl.
(i) State an equation for the reaction of ethanoic acid with a solution of sodium hydrogencarbonate.
(ii) Determine which is the limiting reagent. Show your working.
(iii) Calculate the mass, in g, of carbon dioxide produced.
(i) Determine the amount, in mol, of X in the gas syringe.
(ii) Calculate the molar mass of X.
(i) Identify the reagent necessary for this reaction to occur.
(ii) Deduce the mechanism for the reaction using equations and curly arrows to represent the movement of electron pairs.
Determine the enthalpy change, in kJ mol\(^{ - 1}\), for this reaction, using Table 10 of the Data Booklet.
Bromoethene, \({\text{C}}{{\text{H}}_{\text{2}}}{\text{CHBr}}\), can undergo polymerization. Draw a section of this polymer that contains six carbon atoms.
Markscheme
HCl is a strong acid and \({\text{C}}{{\text{H}}_3}{\text{COOH}}\) is a weak acid so HCl has higher conductivity / HCl dissociates completely in water and \({\text{C}}{{\text{H}}_3}{\text{COOH}}\) does not, so HCl has higher conductivity / HCl is stronger acid (than \({\text{C}}{{\text{H}}_{\text{3}}}{\text{COOH}}\)) so has higher \({\text{[}}{{\text{H}}^ + }{\text{]}}\) and higher conductivity;
(i) \({\text{C}}{{\text{H}}_3}{\text{COOH(aq)}} + {\text{HCO}}_3^ - {\text{(aq)}} \to {\text{C}}{{\text{H}}_3}{\text{CO}}{{\text{O}}^ - }{\text{(aq)}} + {{\text{H}}_2}{\text{O(l)}} + {\text{C}}{{\text{O}}_2}{\text{(g)}}\);
Accept NaHCO3(aq) and CH3COONa (aq) instead of ions.
Ignore state symbols.
(ii) \(n{\text{(C}}{{\text{H}}_3}{\text{COOH)}} = 0.00500{\text{ (mol)}}\) and \(n{\text{(NaHC}}{{\text{O}}_3}{\text{)}} = 0.00450{\text{ (mol)}}\);
\({\text{NaHC}}{{\text{O}}_3}\) is limiting;
(iii) \(n{\text{(C}}{{\text{O}}_2}{\text{)}} = n{\text{(NaHC}}{{\text{O}}_3}{\text{)}} = 0.00450{\text{ (mol)}}\);
\(m{\text{(C}}{{\text{O}}_2}{\text{)}} = 0.00450 \times 44.01 = 0.198{\text{ (g)}}\);
Award [2] for correct final answer.
(i) \(T = 363{\text{ K}}\) and \(V = 9.50 \times {10^{ - 5}}{\text{ }}{{\text{m}}^3}\);
Accept V = 9.5 \( \times \) 10–2 dm3 if P is used as 101 kPa in calculation.
\(n = \frac{{PV}}{{RT}} = \frac{{1.01 \times {{10}^5} \times 9.50 \times {{10}^{ - 5}}}}{{8.31 \times 363}}\);
\( = 3.18 \times {10^{ - 3}}{\text{ (mol)}}\);
Award [3] for correct final answer.
(ii) \(M = \left( {\frac{m}{n} = \frac{{0.348}}{{3.18 \times {{10}^{ - 3}}}} = } \right)109{\text{ }}({\text{g}}\,{\text{mo}}{{\text{l}}^{ - 1}})\);
(i) (dilute aqueous) NaOH/sodium hydroxide / KOH/potassium hydroxide;
Do not accept hydroxide/OH–.
(ii) 
curly arrow going from lone pair/negative charge on O in HO– to C;
Do not allow curly arrow originating on H in HO–.
curly arrow showing Br leaving;
Accept curly arrow either going from bond between C and Br to Br in bromoethane or in the transition state.
representation of transition state showing negative charge, square brackets and partial bonds;
Do not penalize if HO and Br are not at 180° to each other.
Do not award M3 if OH—C bond is represented.
bonds broken:
1(C=C) \( + 1\) (H–Br) / \((612 + 366 = )978{\text{ (kJ)}}\);
Accept 2630 (kJ).
bonds formed:
1(C–C) \( + 1\) (C–H) \( + 1\) (C–Br) / \((1 \times 347 + 1 \times 413 + 1 \times 290 = )1050{\text{ (kJ)}}\);
Accept 2702 (kJ).
\(\Delta H = - 72{\text{ }}({\text{kJ}}\,{\text{mo}}{{\text{l}}^{ - 1}})\);
Award [3] for correct final answer.
Award [2 max] for +72 (kJ mol−1).
;
Extension bonds required.
Ignore brackets and n.
Examiners report
Question 7 was answered by relatively few candidates, and those who chose this question were usually not well-prepared. In (a) very few candidates indicated that HCl is a strong acid and \({\text{C}}{{\text{H}}_{\text{3}}}{\text{COOH}}\) a weak one. Many candidates seemed unfamiliar with the distinction between state and outline and simply said that HCl would be a better conductor. In (b)(i) very few candidates could state a correct equation for the reaction between ethanoic acid and sodium hydrogencarbonate, even when the formulas were provided, but most could calculate the limiting reagent in (b)(ii) and the mass of \({\text{C}}{{\text{O}}_{\text{2}}}\) produced in (b)(iii). Part (c) gave details of a volatile organic liquid. Most candidates could calculate the moles of gas present in (c)(i), although the conversion to the correct units for pressure and volume gave many problems. The calculation of the molar mass of the gas, especially with ECF applied, was generally done well by the candidates. Part (d) referred to the substitution reaction of bromoethane to form ethanol. Identifying the reagent in (d)(i) for this reaction caused problems, with many stating \({\text{O}}{{\text{H}}^ - }\) as the reagent instead of NaOH or KOH. Only the best candidates could draw the mechanism for this substitution reaction in (d)(ii). Many candidates seemed to have very little idea of how to represent an \({{\text{S}}_{\text{N}}}{\text{2}}\) mechanism. Although most candidates identified HBr as the reagent which could produce bromoethane from ethene, they often gave UV as the required condition in (e)(i). Teachers should note that assessment statement 10.6.1 indicates that reagents, conditions and equations should be included for all reaction types listed in the syllabus. Calculation of the enthalpy change using bond enthalpies did not give problems to the good candidates in (e)(ii) but many of the weaker candidates failed to identify all the bonds broken and formed, and only scored the final mark through the application of ECF. Drawing a section of a polymer produced from bromoethene in (e)(iii) presented few problems for most candidates.
Question 7 was answered by relatively few candidates, and those who chose this question were usually not well-prepared. In (a) very few candidates indicated that HCl is a strong acid and \({\text{C}}{{\text{H}}_{\text{3}}}{\text{COOH}}\) a weak one. Many candidates seemed unfamiliar with the distinction between state and outline and simply said that HCl would be a better conductor. In (b)(i) very few candidates could state a correct equation for the reaction between ethanoic acid and sodium hydrogencarbonate, even when the formulas were provided, but most could calculate the limiting reagent in (b)(ii) and the mass of \({\text{C}}{{\text{O}}_{\text{2}}}\) produced in (b)(iii). Part (c) gave details of a volatile organic liquid. Most candidates could calculate the moles of gas present in (c)(i), although the conversion to the correct units for pressure and volume gave many problems. The calculation of the molar mass of the gas, especially with ECF applied, was generally done well by the candidates. Part (d) referred to the substitution reaction of bromoethane to form ethanol. Identifying the reagent in (d)(i) for this reaction caused problems, with many stating \({\text{O}}{{\text{H}}^ - }\) as the reagent instead of NaOH or KOH. Only the best candidates could draw the mechanism for this substitution reaction in (d)(ii). Many candidates seemed to have very little idea of how to represent an \({{\text{S}}_{\text{N}}}{\text{2}}\) mechanism. Although most candidates identified HBr as the reagent which could produce bromoethane from ethene, they often gave UV as the required condition in (e)(i). Teachers should note that assessment statement 10.6.1 indicates that reagents, conditions and equations should be included for all reaction types listed in the syllabus. Calculation of the enthalpy change using bond enthalpies did not give problems to the good candidates in (e)(ii) but many of the weaker candidates failed to identify all the bonds broken and formed, and only scored the final mark through the application of ECF. Drawing a section of a polymer produced from bromoethene in (e)(iii) presented few problems for most candidates.
Question 7 was answered by relatively few candidates, and those who chose this question were usually not well-prepared. In (a) very few candidates indicated that HCl is a strong acid and \({\text{C}}{{\text{H}}_{\text{3}}}{\text{COOH}}\) a weak one. Many candidates seemed unfamiliar with the distinction between state and outline and simply said that HCl would be a better conductor. In (b)(i) very few candidates could state a correct equation for the reaction between ethanoic acid and sodium hydrogencarbonate, even when the formulas were provided, but most could calculate the limiting reagent in (b)(ii) and the mass of \({\text{C}}{{\text{O}}_{\text{2}}}\) produced in (b)(iii). Part (c) gave details of a volatile organic liquid. Most candidates could calculate the moles of gas present in (c)(i), although the conversion to the correct units for pressure and volume gave many problems. The calculation of the molar mass of the gas, especially with ECF applied, was generally done well by the candidates. Part (d) referred to the substitution reaction of bromoethane to form ethanol. Identifying the reagent in (d)(i) for this reaction caused problems, with many stating \({\text{O}}{{\text{H}}^ - }\) as the reagent instead of NaOH or KOH. Only the best candidates could draw the mechanism for this substitution reaction in (d)(ii). Many candidates seemed to have very little idea of how to represent an \({{\text{S}}_{\text{N}}}{\text{2}}\) mechanism. Although most candidates identified HBr as the reagent which could produce bromoethane from ethene, they often gave UV as the required condition in (e)(i). Teachers should note that assessment statement 10.6.1 indicates that reagents, conditions and equations should be included for all reaction types listed in the syllabus. Calculation of the enthalpy change using bond enthalpies did not give problems to the good candidates in (e)(ii) but many of the weaker candidates failed to identify all the bonds broken and formed, and only scored the final mark through the application of ECF. Drawing a section of a polymer produced from bromoethene in (e)(iii) presented few problems for most candidates.
Question 7 was answered by relatively few candidates, and those who chose this question were usually not well-prepared. In (a) very few candidates indicated that HCl is a strong acid and \({\text{C}}{{\text{H}}_{\text{3}}}{\text{COOH}}\) a weak one. Many candidates seemed unfamiliar with the distinction between state and outline and simply said that HCl would be a better conductor. In (b)(i) very few candidates could state a correct equation for the reaction between ethanoic acid and sodium hydrogencarbonate, even when the formulas were provided, but most could calculate the limiting reagent in (b)(ii) and the mass of \({\text{C}}{{\text{O}}_{\text{2}}}\) produced in (b)(iii). Part (c) gave details of a volatile organic liquid. Most candidates could calculate the moles of gas present in (c)(i), although the conversion to the correct units for pressure and volume gave many problems. The calculation of the molar mass of the gas, especially with ECF applied, was generally done well by the candidates. Part (d) referred to the substitution reaction of bromoethane to form ethanol. Identifying the reagent in (d)(i) for this reaction caused problems, with many stating \({\text{O}}{{\text{H}}^ - }\) as the reagent instead of NaOH or KOH. Only the best candidates could draw the mechanism for this substitution reaction in (d)(ii). Many candidates seemed to have very little idea of how to represent an \({{\text{S}}_{\text{N}}}{\text{2}}\) mechanism. Although most candidates identified HBr as the reagent which could produce bromoethane from ethene, they often gave UV as the required condition in (e)(i). Teachers should note that assessment statement 10.6.1 indicates that reagents, conditions and equations should be included for all reaction types listed in the syllabus. Calculation of the enthalpy change using bond enthalpies did not give problems to the good candidates in (e)(ii) but many of the weaker candidates failed to identify all the bonds broken and formed, and only scored the final mark through the application of ECF. Drawing a section of a polymer produced from bromoethene in (e)(iii) presented few problems for most candidates.
Question 7 was answered by relatively few candidates, and those who chose this question were usually not well-prepared. In (a) very few candidates indicated that HCl is a strong acid and \({\text{C}}{{\text{H}}_{\text{3}}}{\text{COOH}}\) a weak one. Many candidates seemed unfamiliar with the distinction between state and outline and simply said that HCl would be a better conductor. In (b)(i) very few candidates could state a correct equation for the reaction between ethanoic acid and sodium hydrogencarbonate, even when the formulas were provided, but most could calculate the limiting reagent in (b)(ii) and the mass of \({\text{C}}{{\text{O}}_{\text{2}}}\) produced in (b)(iii). Part (c) gave details of a volatile organic liquid. Most candidates could calculate the moles of gas present in (c)(i), although the conversion to the correct units for pressure and volume gave many problems. The calculation of the molar mass of the gas, especially with ECF applied, was generally done well by the candidates. Part (d) referred to the substitution reaction of bromoethane to form ethanol. Identifying the reagent in (d)(i) for this reaction caused problems, with many stating \({\text{O}}{{\text{H}}^ - }\) as the reagent instead of NaOH or KOH. Only the best candidates could draw the mechanism for this substitution reaction in (d)(ii). Many candidates seemed to have very little idea of how to represent an \({{\text{S}}_{\text{N}}}{\text{2}}\) mechanism. Although most candidates identified HBr as the reagent which could produce bromoethane from ethene, they often gave UV as the required condition in (e)(i). Teachers should note that assessment statement 10.6.1 indicates that reagents, conditions and equations should be included for all reaction types listed in the syllabus. Calculation of the enthalpy change using bond enthalpies did not give problems to the good candidates in (e)(ii) but many of the weaker candidates failed to identify all the bonds broken and formed, and only scored the final mark through the application of ECF. Drawing a section of a polymer produced from bromoethene in (e)(iii) presented few problems for most candidates.
Question 7 was answered by relatively few candidates, and those who chose this question were usually not well-prepared. In (a) very few candidates indicated that HCl is a strong acid and \({\text{C}}{{\text{H}}_{\text{3}}}{\text{COOH}}\) a weak one. Many candidates seemed unfamiliar with the distinction between state and outline and simply said that HCl would be a better conductor. In (b)(i) very few candidates could state a correct equation for the reaction between ethanoic acid and sodium hydrogencarbonate, even when the formulas were provided, but most could calculate the limiting reagent in (b)(ii) and the mass of \({\text{C}}{{\text{O}}_{\text{2}}}\) produced in (b)(iii). Part (c) gave details of a volatile organic liquid. Most candidates could calculate the moles of gas present in (c)(i), although the conversion to the correct units for pressure and volume gave many problems. The calculation of the molar mass of the gas, especially with ECF applied, was generally done well by the candidates. Part (d) referred to the substitution reaction of bromoethane to form ethanol. Identifying the reagent in (d)(i) for this reaction caused problems, with many stating \({\text{O}}{{\text{H}}^ - }\) as the reagent instead of NaOH or KOH. Only the best candidates could draw the mechanism for this substitution reaction in (d)(ii). Many candidates seemed to have very little idea of how to represent an \({{\text{S}}_{\text{N}}}{\text{2}}\) mechanism. Although most candidates identified HBr as the reagent which could produce bromoethane from ethene, they often gave UV as the required condition in (e)(i). Teachers should note that assessment statement 10.6.1 indicates that reagents, conditions and equations should be included for all reaction types listed in the syllabus. Calculation of the enthalpy change using bond enthalpies did not give problems to the good candidates in (e)(ii) but many of the weaker candidates failed to identify all the bonds broken and formed, and only scored the final mark through the application of ECF. Drawing a section of a polymer produced from bromoethene in (e)(iii) presented few problems for most candidates.
Chloroethene, C2H3Cl, is an important organic compound used to manufacture the polymer poly(chloroethene).
Draw the Lewis structure for chloroethene and predict the H–C–Cl bond angle.
Draw a section of poly(chloroethene) containing six carbon atoms.
Outline why the polymerization of alkenes is of economic importance and why the disposal of plastics is a problem.
Chloroethene can be converted to ethanol in two steps. For each step deduce an overall equation for the reaction taking place.
Step 1:
Step 2:
State the reagents and conditions necessary to prepare ethanoic acid from ethanol in the laboratory.
State an equation, including state symbols, for the reaction of ethanoic acid with water. Identify a Brønsted-Lowry acid in the equation and its conjugate base.
Markscheme
;
Accept lines, dots or crosses for electron pairs.
Lone pairs required on chlorine.
(approximately) 120°;
Accept any bond angle in the range 113–120°.
;
Brackets not required for mark.
Continuation bonds from each carbon are required.
Cl atoms can be above or below carbon spine or alternating above and below.
plastics are cheap/versatile/a large industry / plastics have many uses / OWTTE;
plastics are not biodegradeable / plastics take up large amounts of space in landfill / pollution caused by burning of plastics / OWTTE;
Do not accept plastics cause litter.
Allow plastics don’t decompose quickly / OWTTE.
(i) Step 1:
\({\text{C}}{{\text{H}}_2}{\text{CHCl}} + {{\text{H}}_2} \to {\text{C}}{{\text{H}}_3}{\text{C}}{{\text{H}}_2}{\text{Cl}}\);
Step 2:
\({\text{C}}{{\text{H}}_3}{\text{C}}{{\text{H}}_2}{\text{Cl}} + {\text{O}}{{\text{H}}^ - } \to {\text{C}}{{\text{H}}_3}{\text{C}}{{\text{H}}_2}{\text{OH}} + {\text{C}}{{\text{l}}^ - }\);
Allow NaOH or NaCl etc. instead of OH– and Cl–.
Allow abbreviated formulas C2H3Cl, C2H5Cl, C2H5OH.
\({{\text{H}}_{\text{2}}}{\text{S}}{{\text{O}}_{\text{4}}}\)/\({{\text{H}}^ + }\)/acidified and \({\text{C}}{{\text{r}}_{\text{2}}}{\text{O}}_{_{\text{7}}}^{2 - }\)/(potassium/sodium) dichromate;
Accept suitable oxidizing agents (e.g. KMnO4 etc.) but only with acid.
Ignore missing or incorrect oxidation states in reagents.
(heat under) reflux;
Second mark can be scored even if reagent is incorrect.
\({\text{C}}{{\text{H}}_3}{\text{COOH(aq)}} + {{\text{H}}_2}{\text{O(l)}} \rightleftharpoons {\text{C}}{{\text{H}}_3}{\text{CO}}{{\text{O}}^ - }{\text{(aq)}} + {{\text{H}}_3}{{\text{O}}^ + }{\text{(aq)}}\)
OR
\({\text{C}}{{\text{H}}_3}{\text{COOH(l)}} + {{\text{H}}_2}{\text{O(l)}} \rightleftharpoons {\text{C}}{{\text{H}}_3}{\text{CO}}{{\text{O}}^ - }{\text{(aq)}} + {{\text{H}}_3}{{\text{O}}^ + }{\text{(aq)}}\)
OR
\({\text{C}}{{\text{H}}_3}{\text{COOH(aq)}} \rightleftharpoons {\text{C}}{{\text{H}}_3}{\text{CO}}{{\text{O}}^ - }{\text{(aq)}} + {{\text{H}}^ + }{\text{(aq)}}\)
correct equation;
state symbols and \( \rightleftharpoons \);
BL acid is \({\text{C}}{{\text{H}}_{\text{3}}}{\text{COOH}}\) and cb is \({\text{C}}{{\text{H}}_{\text{3}}}{\text{CO}}{{\text{O}}^ - }\) / BL acid is \({{\text{H}}_{\text{3}}}{{\text{O}}^ + }\) and cb is \({{\text{H}}_{\text{2}}}{\text{O}}\);
Examiners report
The main G2 comments on this question related to the inclusion of organic chemistry in Section A. It should be noted that ANY Topic can be asked in Section A of P2, and there is no set-formula in relation to question setting. Organic chemistry is an integral part of the IB SL Chemistry programme, and is covered in Topic 10 of the guide (12 hours in total). Hence, candidates should be adequately prepared for questions on this topic, even in Section A. In 3(a), the Lewis structure of chlorethene was generally drawn correctly, though the weaker candidates often omitted the lone pairs on the chlorine. The bond angle was usually predicted, although right angles and 109.5° were often given. Even some of the better candidates explained their choice of bond angle, based on the fact that the double bond occupies more space causing the HCCl bond angle to drop less than 120°.
Many candidates gave double bonds and some forgot to include continuation bonds.
The Aim 8 question in part (iii) was very well answered this session. Almost all candidates scored the disposal problem of plastics mark and many achieved the economics importance mark also.
In general (b) was very poorly answered, again showing a clear weakness in organic chemistry, which is an area of major concern. (i) was poorly done. Candidates who managed a correct reaction for the first step often used water instead of hydroxide ion for the second step.
In general (b) was very poorly answered, again showing a clear weakness in organic chemistry, which is an area of major concern. In (ii), candidates who mentioned dichromate(VI) or permanganate(VIII) often omitted the acid. In addition, reflux was often missing.
In general (b) was very poorly answered, again showing a clear weakness in organic chemistry, which is an area of major concern. In (iii), very few candidates scored all three marks here, even though the question itself was easy. The equation was often correct, but the equilibrium arrow was rarely given. Some candidates did not know the formula for ethanoic acid which was surprising.
Factors that affect the rate of a chemical reaction include particle size, concentration of reactants and the temperature of the reaction.
Propan-1-ol and propan-2-ol are two structural isomers of \({{\text{C}}_{\text{3}}}{{\text{H}}_{\text{8}}}{\text{O}}\).
Define the term rate of a chemical reaction.
List the three characteristic properties of reactant particles which affect the rate of reaction as described by the collision theory.
On the axes below sketch two Maxwell-Boltzmann energy distribution curves for the same sample of gas, one at a temperature \(T\) and another at a higher temperature \(T'\). Label both axes. Explain why raising the temperature increases the rate of a chemical reaction.

Explain why coal dust burns much faster than a large piece of coal with the same mass.
State the equation for the complete combustion of \({{\text{C}}_{\text{3}}}{{\text{H}}_{\text{8}}}{\text{O}}\).
Both propan-1-ol and propan-2-ol can be oxidized in aqueous solution by potassium dichromate(VI). State any necessary conditions for the oxidation to occur and describe the colour change during the oxidation process.
State the name(s) and structure(s) of the organic product(s) that can be formed when each of the alcohols is oxidized and suggest why one of the alcohols gives two organic products and the other only gives one organic product.
Markscheme
increase in concentration of product per unit time / decrease in concentration of reactant per unit time;
Accept change instead of increase/decrease and mass/amount/volume instead of concentration.
frequency of collisions;
kinetic energy/speed of reactant particles;
collision geometry/orientation;

correctly labelled axes showing number of particles/frequency against (kinetic) energy;
correctly shaped graph for \(T\) (curve must not touch or cross x axes);
\(T'\) curve to the right of \(T\) and with a peak lower than \(T\);
increasing the temperature increases the (kinetic) energy of the particles / more particles will possess the necessary activation energy;
there will be more collisions per unit time / the frequency of collisions increases / there are more successful collisions;
the dust has a greatly increased surface area / more of the coal can come into contact with the oxygen molecules when it is in dust form / OWTTE;
\({{\text{C}}_3}{{\text{H}}_8}{\text{O}} + {\text{4}}\frac{1}{2}{{\text{O}}_2} \to {\text{3C}}{{\text{O}}_2} + {\text{4}}{{\text{H}}_2}{\text{O}}/{\text{2}}{{\text{C}}_3}{{\text{H}}_8}{\text{O}} + {\text{9}}{{\text{O}}_2} \to {\text{6C}}{{\text{O}}_2} + {\text{8}}{{\text{H}}_2}{\text{O}}\)
Award [1] for correct products and reactants and [1] for correct balancing.
Ignore state symbols.
acidic solution / \({{\text{H}}^ + }\) / sulfuric acid;
warm / heat / reflux;
(the solution changes) from orange to green;
\({\text{C}}{{\text{H}}_3}{\text{C}}{{\text{H}}_2}{\text{CHO}}\) and propanal;
\({\text{C}}{{\text{H}}_3}{\text{C}}{{\text{H}}_2}{\text{COOH}}\) and propanoic acid;
\({\text{C}}{{\text{H}}_3}{\text{COC}}{{\text{H}}_3}\) and propanone/acetone;
Award [1] for 2 or 3 correct names or structures, award [2] for 4 or 5 correct names or structures.
propan-1-ol gives propanal and propanoic acid and propan-2-ol gives propanone;
propan-1-ol has two H atoms bonded to the C containing the –OH whereas propan-2-ol only has one / propan-1-ol is a primary alcohol and propan-2-ol is a secondary alcohol;
Examiners report
This question began with kinetics and although many did well, there were also a lot of marks lost. Some did not have a correct definition of rate of reaction and many misread the question that asked for the properties of reactant particles that affect rate. Many candidates talked about surface area, concentration etc as opposed to collision frequency, collision geometry and reactant particle kinetic energy. The Maxwell-Bolzmann energy curves were drawn very badly and even candidates who could do it lost marks for the sloppy drawing of the curves e.g curves did not start at the origin or they crossed the x axis.
Also candidates could not label the axes correctly. However most could suggest that coal dust burns faster as it has a larger surface area.
This question began with kinetics and although many did well, there were also a lot of marks lost. Some did not have a correct definition of rate of reaction and many misread the question that asked for the properties of reactant particles that affect rate. Many candidates talked about surface area, concentration etc as opposed to collision frequency, collision geometry and reactant particle kinetic energy. The Maxwell-Bolzmann energy curves were drawn very badly and even candidates who could do it lost marks for the sloppy drawing of the curves e.g curves did not start at the origin or they crossed the x axis.
Also candidates could not label the axes correctly. However most could suggest that coal dust burns faster as it has a larger surface area.
This question began with kinetics and although many did well, there were also a lot of marks lost. Some did not have a correct definition of rate of reaction and many misread the question that asked for the properties of reactant particles that affect rate. Many candidates talked about surface area, concentration etc as opposed to collision frequency, collision geometry and reactant particle kinetic energy. The Maxwell-Bolzmann energy curves were drawn very badly and even candidates who could do it lost marks for the sloppy drawing of the curves e.g curves did not start at the origin or they crossed the x axis.
Also candidates could not label the axes correctly. However most could suggest that coal dust burns faster as it has a larger surface area.
This question began with kinetics and although many did well, there were also a lot of marks lost. Some did not have a correct definition of rate of reaction and many misread the question that asked for the properties of reactant particles that affect rate. Many candidates talked about surface area, concentration etc as opposed to collision frequency, collision geometry and reactant particle kinetic energy. The Maxwell-Bolzmann energy curves were drawn very badly and even candidates who could do it lost marks for the sloppy drawing of the curves e.g curves did not start at the origin or they crossed the x axis.
Also candidates could not label the axes correctly. However most could suggest that coal dust burns faster as it has a larger surface area.
Part (b) was based on organic chemistry and most candidates knew that the products of combusting propan-2-ol were carbon dioxide and water- although few could balance the equation correctly. In the next part of the question the colour change from orange to green was well known, but the necessary conditions of reflux and acidifying the dichromate were not. The final part of this question was often done very well and many candidates could draw the structures of the 3 oxidation products and name them.
Part (b) was based on organic chemistry and most candidates knew that the products of combusting propan-2-ol were carbon dioxide and water- although few could balance the equation correctly. In the next part of the question the colour change from orange to green was well known, but the necessary conditions of reflux and acidifying the dichromate were not. The final part of this question was often done very well and many candidates could draw the structures of the 3 oxidation products and name them.
Part (b) was based on organic chemistry and most candidates knew that the products of combusting propan-2-ol were carbon dioxide and water- although few could balance the equation correctly. In the next part of the question the colour change from orange to green was well known, but the necessary conditions of reflux and acidifying the dichromate were not. The final part of this question was often done very well and many candidates could draw the structures of the 3 oxidation products and name them.
Intermolecular forces are attractive forces between molecules.
Consider the compounds \({{\text{(C}}{{\text{H}}_{\text{3}}}{\text{)}}_{\text{2}}}{\text{NH}}\) and \({\text{C}}{{\text{H}}_{\text{4}}}\).
Identify the intermolecular forces present in hydrogen iodide in the liquid state, HI(l).
Deduce the full structural formula for both compounds, showing all the bonds present.
\({{\text{(C}}{{\text{H}}_{\text{3}}}{\text{)}}_{\text{2}}}{\text{NH}}\)\(\quad \quad \quad \quad \quad \quad \quad \quad \quad \quad \quad \quad \quad \quad \quad \)\({\text{C}}{{\text{H}}_{\text{4}}}\)
State and explain which compound can form hydrogen bonds with water.
Draw a diagram showing the resulting hydrogen bonds between water and the compound chosen in (ii).
Markscheme
van der Waals’/London/dispersion and dipole-dipole;
Allow abbreviations for van der Waals’ as vdW or for London/dispersion as FDL.
(CH3)2NH :
;
Lone pair not necessary.
CH4 :
;
All bonds (including CH bonds of methyl groups) must be shown for both structures.
Penalize missing hydrogens once only.
(CH3)2NH ;
(intermolecular) attraction between hydrogen (atom) in O–H/N–H (polar) bond and (lone pair on) electronegative N/O / hydrogen between two very electronegative elements (nitrogen and oxygen) / OWTTE;
Accept hydrogen bonded to nitrogen which is electronegative/has lone pair.
Do not allow ECF if M1 incorrect.
representative drawing showing hydrogen bond between (CH3)2NH and

Do not penalize if lone pair as part of hydrogen bond is not shown.
Allow any representation of hydrogen bond (for example, dashed lines, dots etc.) which differs from full stick representation of the other covalent bonds in amine and water molecules.
Allow full line if labelled as hydrogen bond.
Lone pairs on oxygen not necessary.
Award mark if two hydrogen bonds drawn between the molecules from the lone pair and the H on the N.
Examiners report
Question 4 a) asked candidates to identify intermolecular forces in HI(l). A quick check of the Data Booklet should reveal an electronegativity difference of 0.5, so HI is polar and has dipole-dipole forces between molecules. Candidates should also be aware that the large number of electrons on iodine (large mass) would contribute to large van der Waals’ forces. Both answers were required for 1 mark. Many candidates only gave one response.
In b) (i) nearly all candidates could correctly draw the full structural formula of CH4 although some showed Lewis structures with dots and crosses. Fewer candidates could sketch the full structural formula of (CH3)2NH and drew the structure of ethylamine instead. Some candidates did not show all the bonds, leaving CH3 groups intact.
In b) (ii) candidates were asked which of these two compounds could form hydrogen bonds with water. A few did not realise that the question referred to the compounds already mentioned. This suggests that for some candidates their examination preparation has not included an understanding of question structures.
Most successfully identified (CH3)2NH but could not explain the hydrogen bond formation for the second mark. Many candidates then managed to draw a diagram of the hydrogen bonds, although some showed their lack of understanding of the nature of a hydrogen bond and drew them as covalent or dative covalent bonds.
Halogenoalkanes can be classified as primary, secondary or tertiary.
Alkanes undergo few reactions other than combustion and halogenation.
Under certain conditions but-2-ene can react with water to form butan-2-ol.
(i) State the meaning of the term isomers.
(ii) Deduce the structural formulas of 2-bromobutane and 1-bromo-2-methylpropane, and identify each molecule as primary, secondary or tertiary.
(i) Explain why alkanes have low reactivity.
(ii) Outline the meaning of the term homolytic fission.
(iii) Describe the meaning of the symbol \({\text{Br}} \bullet \).
(iv) State an equation for the reaction of ethane with bromine.
(v) Explain the reaction of ethane with bromine using equations for the initiation step, two propagation steps and one termination step.
(i) Identify a suitable catalyst for this reaction.
(ii) But-2-ene can be converted to 2-bromobutane and then to butan-2-ol as follows:
\({\text{C}}{{\text{H}}_3}{\text{CH}}\)=\({\text{CHC}}{{\text{H}}_3}\xrightarrow{I}{\text{C}}{{\text{H}}_3}{\text{CH(Br)C}}{{\text{H}}_2}{\text{C}}{{\text{H}}_3}\xrightarrow{{II}}{\text{C}}{{\text{H}}_3}{\text{CH(OH)C}}{{\text{H}}_{\text{2}}}{\text{C}}{{\text{H}}_{\text{3}}}\)
Identify the reagent(s) and conditions necessary for each of the steps I and II.
Step I:
Step II:
Markscheme
(i) compounds with the same molecular formula but different arrangements of atoms / compounds with the same molecular formula but different structural formulas;
(ii) \({\text{C}}{{\text{H}}_{\text{3}}}{\text{CH(Br)C}}{{\text{H}}_{\text{2}}}{\text{C}}{{\text{H}}_{\text{3}}}\);
secondary/ 2°;
\({\text{C}}{{\text{H}}_2}{\text{(Br)CH(C}}{{\text{H}}_3}{\text{)C}}{{\text{H}}_3}\);
primary/ 1°;
Accept full or condensed structural formulas.
(i) relatively strong bonds/high bond enthalpies so large amounts of energy must be provided for a reaction to occur;
non-polar bonds so not susceptible to attack / no C=C so no addition reactions;
(ii) bond breaks and one electron (from the covalent bond) goes to each atom / OWTTE;
(iii) bromine (free) radical / a bromine atom (with an unpaired electron);
(iv) \({\text{C}}{{\text{H}}_3}{\text{C}}{{\text{H}}_3} + {\text{B}}{{\text{r}}_2} \to {\text{C}}{{\text{H}}_3}{\text{C}}{{\text{H}}_2}{\text{Br}} + {\text{HBr}}\);
Accept further substitution.
(v) Initiation:
\({\text{B}}{{\text{r}}_2} \to {\text{2Br}} \bullet \);
Essential condition:
UV/sunlight/hf/hv;
Propagation:
\({\text{Br}} \bullet + {\text{C}}{{\text{H}}_3}{\text{C}}{{\text{H}}_3} \to \bullet {\text{C}}{{\text{H}}_2}{\text{C}}{{\text{H}}_3} + {\text{HBr}}\);
\({\text{B}}{{\text{r}}_2} + \bullet {\text{C}}{{\text{H}}_2}{\text{C}}{{\text{H}}_3} \to {\text{BrC}}{{\text{H}}_2}{\text{C}}{{\text{H}}_3} + {\text{Br}} \bullet \);
Accept other valid propagation reactions.
Termination:
\({\text{Br}} \bullet + {\text{Br}} \bullet \to {\text{B}}{{\text{r}}_2}\);
Accept other valid termination reactions.
(i) (concentrated) sulfuric acid/ \({{\text{H}}_2}{\text{S}}{{\text{O}}_4}\) / phosphoric acid/ \({{\text{H}}_3}{\text{P}}{{\text{O}}_4}\);
Acid must be named or formula given.
(ii) step I:
HBr/hydrogen bromide;
gaseous / anhydrous / inert/non-polar solvent;
step II:
sodium hydroxide/NaOH / potassium hydroxide/KOH;
aqueous (solution) / dilute / warm / heat / reflux;
Examiners report
This was the least popular question in section B, but was generally chosen by those who were a little more “expert”. Part (a) was answered well and hydrogen atoms were rarely missing as they have been in other examination sessions. It is accepted that the answer box for (ii) would have been better without lines in it.
In part (b)(i), candidates found it difficult to explain why alkanes have low reactivity – it is always more difficult to explain a negative – and homolytic fission was not well explained in (ii). There were many good answers to (iii), (iv) and (v). In (b)(iv), candidates were asked to state an equation so further substitution was accepted.
Part (c) caused more trouble. The catalyst was often mis-identified in (i) (potassium dichromate seemed to be a common choice). In (ii), the condition for using HBr was rarely given (although it is accepted that it is rarely given in the texts) and the reagent for step II was sometimes given as hydroxide or \(^ - {\text{OH}}\).
Two students were asked to use information from the Data Booklet to calculate a value for the enthalpy of hydrogenation of ethene to form ethane.
\[{{\text{C}}_2}{{\text{H}}_4}{\text{(g)}} + {{\text{H}}_2}{\text{(g)}} \to {{\text{C}}_2}{{\text{H}}_6}{\text{(g)}}\]
John used the average bond enthalpies from Table 10. Marit used the values of enthalpies of combustion from Table 12.
John then decided to determine the enthalpy of hydrogenation of cyclohexene to produce cyclohexane.
\[{{\text{C}}_{\text{6}}}{{\text{H}}_{{\text{10}}}}{\text{(l)}} + {{\text{H}}_{\text{2}}}{\text{(g)}} \to {{\text{C}}_{\text{6}}}{{\text{H}}_{{\text{12}}}}{\text{(l)}}\]
Calculate the value for the enthalpy of hydrogenation of ethene obtained using the average bond enthalpies given in Table 10.
Marit arranged the values she found in Table 12 into an energy cycle.

Calculate the value for the enthalpy of hydrogenation of ethene from the energy cycle.
Suggest one reason why John’s answer is slightly less accurate than Marit’s answer.
Use the average bond enthalpies to deduce a value for the enthalpy of hydrogenation of cyclohexene.
The percentage difference between these two methods (average bond enthalpies and enthalpies of combustion) is greater for cyclohexene than it was for ethene. John’s hypothesis was that it would be the same. Determine why the use of average bond enthalpies is less accurate for the cyclohexene equation shown above, than it was for ethene. Deduce what extra information is needed to provide a more accurate answer.
Markscheme
energy required = C=C + H–H/612 + 436 and
energy released = C–C + 2(C–H)/347 + 2(413) /
energy required = C=C + H–H + 4(C–H)/612 + 436 + 4(413) and
energy released = C–C + 6(C–H)/347 + 6(413);
\(\Delta H = - 1411 + ( - 286) - ( - 1560) = - 137{\text{ kJ}}\,{\text{mo}}{{\text{l}}^{ - 1}}\);
the actual values for the specific bonds may be different to the average values / the combustion values referred to the specific compounds / OWTTE;
\( - {\text{125 kJ}}\,{\text{mo}}{{\text{l}}^{ - 1}}\);
average bond enthalpies do not apply to the liquid state / OWTTE;
the enthalpy of vaporization/condensation of cyclohexene and cyclohexane / OWTTE;
Examiners report
Candidates struggled with Part (a). The most common errors were those of calculation, incorrect identification of the bonds involved and a final answer with the opposite sign and missing units.
In (b) many candidates found it difficult to use Hess’ Law with the cycle presented in this form, a good proportion not recognising that this was, indeed, a Hess’ Law calculation.
In Part (c) many of the candidates simply repeated the question, giving no reason or explanation for the likely difference in accuracy.
Many candidates repeated the calculation from (a) in (d)(i) instead of realising that the question asked for a deduction rather than another calculation. Credit was given if the same (even if incorrect) answer was obtained as in part (a).
In (d)(ii) very few candidates seemed to notice that this process involved substances in the liquid state hence the need for enthalpies of vaporization/condensation. It was commonly thought that the position of the double bond in the cyclohexene ring would make a significant difference.
State two features of a homologous series.
Ethane, a member of the homologous series of alkanes, can react with bromine.
Explain the free-radical mechanism of this reaction, including any necessary reaction conditions.
Markscheme
same functional group;
same general formula;
(successive members) differ by CH2;
similar chemical properties;
gradation in physical properties;
Do not accept “same” instead of “similar”, or vice versa.
Initiation:
\({\text{B}}{{\text{R}}_2}\xrightarrow{{{\text{UV/hf/hv}}}}2{\text{Br}} \bullet \);
Reference to UV light or high temperature must be included.
Propagation:
\({\text{Br}} \bullet + {{\text{C}}_2}{{\text{H}}_6} \to {{\text{C}}_2}{{\text{H}}_5} \bullet + {\text{HBr}}\);
\({{\text{C}}_2}{{\text{H}}_5} \bullet + {\text{B}}{{\text{r}}_2} \to {{\text{C}}_2}{{\text{H}}_5}{\text{Br}} + {\text{Br}} \bullet \);
Termination:
\({\text{Br}} \bullet + {\text{Br}} \bullet \to {\text{B}}{{\text{r}}_2}/{{\text{C}}_2}{{\text{H}}_5} \bullet + {\text{Br}} \bullet \to {{\text{C}}_2}{{\text{H}}_5}{\text{Br}}/{{\text{C}}_2}{{\text{H}}_5} \bullet + {{\text{C}}_2}{{\text{H}}_5} \bullet \to {{\text{C}}_4}{{\text{H}}_{10}}\);
Accept representation of radical without • (eg, Br, C2H5) if consistent throughout mechanism.
Penalize reference to heterolytic fission once only.
Award [0] to any mechanism involving ions.
Accept further bromination.
Award [3 max] if initiation, propagation and termination are not stated or are incorrectly labelled for equations.
Accept correct description of processes without equations.
Examiners report
This question tended to be well answered. The most common errors were that some candidates stated that homologous series have the same empirical formula, and that the difference between “the same” and “similar” were confused. The knowledge of the free radical substitution was very good, with the three processes of initiation, propagation and termination quoted often, although some only gave the first and last, the equations for propagation were most likely to be incorrect.
This question tended to be well answered. The most common errors were that some candidates stated that homologous series have the same empirical formula, and that the difference between “the same” and “similar” were confused. The knowledge of the free radical substitution was very good, with the three processes of initiation, propagation and termination quoted often, although some only gave the first and last, the equations for propagation were most likely to be incorrect.
Ethene belongs to the homologous series of the alkenes.
A bromoalkane, \({{\text{C}}_{\text{4}}}{{\text{H}}_{\text{9}}}{\text{Br}}\), reacts with a warm, aqueous sodium hydroxide solution, NaOH.
The time taken to produce a certain amount of product using different initial concentrations of \({{\text{C}}_{\text{4}}}{{\text{H}}_{\text{9}}}{\text{Br}}\) and NaOH is measured. The results are shown in the following table.

Outline three features of a homologous series.
Describe a test to distinguish ethene from ethane, including what is observed in each case.
Bromoethane can be produced either from ethene or from ethane. State an equation for each reaction.
State the equation for the reaction of \({{\text{C}}_{\text{4}}}{{\text{H}}_{\text{9}}}{\text{Br}}\) with NaOH.
Suggest what would happen to the pH of the solution as the reaction proceeds.
Deduce the effect of the concentration of \({{\text{C}}_{\text{4}}}{{\text{H}}_{\text{9}}}{\text{Br}}\) and NaOH on the rate of reaction.
C4H9Br:
NaOH:
Suggest why warm sodium hydroxide solution is used.
Deduce whether C4H9Br is a primary or tertiary halogenoalkane.
Determine the structural formula of C4H9Br.
Describe, using an equation, how \({{\text{C}}_{\text{4}}}{{\text{H}}_{\text{9}}}{\text{Br}}\) can be converted into \({{\text{C}}_{\text{4}}}{{\text{H}}_{\text{8}}}{\text{B}}{{\text{r}}_{\text{2}}}\).
Explain the mechanism for the reaction in (c) of \({{\text{C}}_{\text{4}}}{{\text{H}}_{\text{9}}}{\text{Br}}\) with NaOH, using curly arrows to represent the movement of electron pairs.
Markscheme
same functional group / same general formula;
difference between successive members is \({\text{C}}{{\text{H}}_{\text{2}}}\);
similar chemical properties;
Do not accept “same” chemical properties.
gradually changing physical properties;
adding bromine (water);
ethene: brown/orange to colourless / decolourizes bromine water and
ethane: does not change colour;
OR
adding acidified potassium permanganate solution/\({\text{KMn}}{{\text{O}}_{\text{4}}}{\text{(aq)}}\);
ethene: purple to colourless/brown and
ethane: does not change colour;
OR
adding Baeyer’s reagent;
ethene: purple/pink to brown and
ethane: does not change colour;
Do not accept “clear” or “transparent” for “colourless”.
\({{\text{C}}_{\text{2}}}{{\text{H}}_{\text{4}}} + {\text{HBr}} \to {{\text{C}}_{\text{2}}}{{\text{H}}_{\text{5}}}{\text{Br}}\);
\({{\text{C}}_2}{{\text{H}}_6} + {\text{B}}{{\text{r}}_2} \to {{\text{C}}_2}{{\text{H}}_5}{\text{Br}} + {\text{HBr}}\);
Accept structural formulas.
Penalise missing H atoms or incorrect bonds (such as C–HO, C–H2C) in structural formulas only once in the paper.
\({{\text{C}}_4}{{\text{H}}_9}{\text{Br}} + {\text{O}}{{\text{H}}^ - } \to {{\text{C}}_4}{{\text{H}}_9}{\text{OH}} + {\text{B}}{{\text{r}}^ - }\);
Accept NaOH in the equation.
decreases;
C4H9Br:
[C4H9Br] doubles and time halves/rate doubles / rate proportional to [C4H9Br];
Do not accept rate increases when [C4H9Br] increases.
NaOH:
[NaOH] doubles and time/rate does not change / rate independent of [NaOH];
increases rate;
Accept increases number of collisions.
rate depends on \({\text{[}}{{\text{C}}_{\text{4}}}{{\text{H}}_{\text{9}}}{\text{Br]}}\) only / rate does not depend on \({\text{[O}}{{\text{H}}^ - }{\text{]}}\) / \({{\text{S}}_{\text{N}}}{\text{1}}\) reaction /
first order reaction / if it was primary, reaction would be \({{\text{S}}_{\text{N}}}{\text{2}}\);
tertiary;
Accept ECF.
\({{\text{(C}}{{\text{H}}_{\text{3}}}{\text{)}}_{\text{3}}}{\text{CBr}}\);
Allow both condensed and full structural formula.
Accept ECF.
\({{\text{C}}_{\text{4}}}{{\text{H}}_{\text{9}}}{\text{Br}} + {\text{B}}{{\text{r}}_{\text{2}}} \to {{\text{C}}_{\text{4}}}{{\text{H}}_{\text{8}}}{\text{B}}{{\text{r}}_{\text{2}}} + {\text{HBr}}\);

curly arrow showing \({\text{B}}{{\text{r}}^ - }\) leaving;
representation of tertiary carbocation;
curly arrow going from lone pair/negative charge on O in \(^ - {\text{OH}}\) to \({{\text{C}}^ + }\);
Do not allow arrow originating on H in –OH.
formation of \({{\text{(C}}{{\text{H}}_{\text{3}}}{\text{)}}_{\text{3}}}{\text{COH}}\) and \({\text{B}}{{\text{r}}^ - }\);
Accept Br– anywhere on product side in the reaction scheme.
If primary halogenoalkane has been answered in (c)(iii) apply ECF for the mechanism:

curly arrow going from lone pair/negative charge on O in \(^ - {\text{OH}}\) to C;
Do not allow curly arrow originating on H in –OH.
curly arrow showing \({\text{B}}{{\text{r}}^ - }\) leaving;
Accept curly arrow either going from bond between C and Br to Br in bromobutane or in the transition state.
representation of transition state showing negative charge, square brackets and partial bond;
Do not penalize if HO and Br are not at 180° to each other.
Do not award M3 if OH—C bond is represented.
formation of organic product \({{\text{C}}_{\text{4}}}{{\text{H}}_{\text{9}}}{\text{OH}}\) and \({\text{B}}{{\text{r}}^ - }\);
Accept Br– anywhere on product side in the reaction scheme.
Examiners report
Students had surprisingly difficulties to name the features of a homologous series. Common mistakes were to say SAME chemical or physical properties or same empirical/molecular/structural formula.
Most candidates did well describing the test to distinguish alkanes and alkenes.
The formation of dibromobutane was a common error.
The equation for the reaction of the \({{\text{C}}_{\text{4}}}{{\text{H}}_{\text{9}}}{\text{Br}}\) with NaOH presented no problem.
Some did not realize that pH decreases as NaOH is reacting, often referring as the pH would become more neutral.
Candidates could deduce that the concentration of NaOH does not affect the rate, but could not accurately explain and quantify the relationship between the concentration of C4H9Br and the rate of reaction. Time and rate were often confused.
This was well answered.
Very few candidates could relate rate information to deduce that \({{\text{C}}_{\text{4}}}{{\text{H}}_{\text{9}}}{\text{Br}}\) was tertiary.
The structural formula was generally gained by ECF.
Students did not have problems with the equation.
Mechanism with curly arrows was done very poorly, students confused \({{\text{S}}_{\text{N}}}{\text{1}}\) and \({{\text{S}}_{\text{N}}}{\text{2}}\) mechanisms, drew arrows that did not show clearly origin and end or did not draw any arrow at all.
The alkenes are an example of a homologous series.
Bromine water, Br2(aq), can be used to distinguish between the alkanes and the alkenes.
The polymerization of the alkenes is one of the most significant reactions of the twentieth century.
State the name of the alkene shown.

Bromine water, Br2(aq), can be used to distinguish between the alkanes and the alkenes.
(i) Describe the colour change observed when the alkene shown in part (a) is added to bromine water.
(ii) Draw the structural formula and state the name of the product formed.
(i) Outline two reasons why the polymers of the alkenes are of economic importance.
(ii) State the type of polymerization reaction shown by the alkene in part (a).
(iii) Deduce the structure of the resulting polymer showing three repeating units.
(iv) Explain why monomers are often gases or volatile liquids, but polymers are solids.
Markscheme
methylpropene;
Accept 2-methylpropene.
(i) brown/orange/yellow to colourless / bromine is decolorised;
(ii) 1,2-dibromo-2-methylpropane / 1,2-dibromomethylpropane / 1-bromo-2-methylpropan-2-ol / 1-bromomethylpropan-2-ol;
Do not penalize missing commas, hyphens or added spaces.
;
Award [1] if structure and correct name are given for 2-bromo-2-methylpropan-1-ol
(i) synthesis of materials not naturally available/plastics;
chemically unreactive materials produced;
wide range of uses/physical properties / versatile;
cheap;
large industry;
uses a limited natural resource;
Award [2] for any two.
(ii) addition;
(iii)
;
Must show continuation bonds.
Ignore bracket around the 6 carbons.
Must have 6 carbons joined to each other along chain.
(iv) monomers are smaller molecules / have smaller surface area than polymers;
Accept monomers have lower molecular mass.
with weaker intermolecular/Van der Waals’/London/dispersion forces;
Accept opposite argument for polymers.
Examiners report
This question was generally well answered and many high scores were seen. Naming the initial compound was generally well done though many stated methylprop-1-ene which is incorrect.
Most could describe the colour change with bromine correctly though some incorrectly used ‘clear’ instead of ‘colourless’ and many could draw the structure of the dibromoalkane formed. Most candidates stated that plastics were produced from alkenes and suggested versatility or low cost and so were able to score full marks.
Addition polymerisation was well recalled but a large number of candidates made mistakes with the structure of the polymer, a surprisingly large number had bromine appearing attached to the carbon chain. Most understood that larger molar mass was why polymers had higher boiling points than monomers but not all correctly attributed it to stronger van der Waals‟ forces between molecules.
In an experiment to measure the enthalpy change of combustion of ethanol, a student heated a copper calorimeter containing 100 cm3 of water with a spirit lamp and collected the following data.
\[\begin{array}{*{20}{l}} {{\text{Initial temperature of water:}}}&{{\text{20.0 }}^\circ {\text{C}}} \\ {{\text{Final temperature of water:}}}&{{\text{55.0 }}^\circ {\text{C}}} \\ {{\text{Mass of ethanol burned:}}}&{{\text{1.78 g}}} \\ {{\text{Density of water:}}}&{{\text{1.00 g}}\,{\text{c}}{{\text{m}}^{ - 3}}} \end{array}\]
(i) Use the data to calculate the heat evolved when the ethanol was combusted.
(ii) Calculate the enthalpy change of combustion per mole of ethanol.
(iii) Suggest two reasons why the result is not the same as the value in the Data Booklet.
Ethanol is part of the homologous series of alcohols. Describe two features of a homologous series.
(i) Below are four structural isomers of alcohols with molecular formula \({{\text{C}}_{\text{4}}}{{\text{H}}_{{\text{10}}}}{\text{O}}\). State the name of each of the isomers a, b, c and D.

(ii) Determine the isomer that cannot be oxidized by acidifi ed potassium dichromate(VI), \({{\text{K}}_{\text{2}}}{\text{C}}{{\text{r}}_{\text{2}}}{{\text{O}}_{\text{7}}}\).
(iii) Determine the isomer which can be oxidized to butanal.
(iv) Determine the isomer which can be oxidized to butanone.
(v) Suggest the structural formula of another isomer of \({{\text{C}}_{\text{4}}}{{\text{H}}_{{\text{10}}}}{\text{O}}\).

(i) Isomer a is formed by reacting 1-bromobutane with aqueous sodium hydroxide. State whether the reaction would proceed via an SN1 or SN2 mechanism.
(ii) Explain the mechanism named in part (d) (i) using curly arrows to represent the movement of electron pairs.
Markscheme
(i) \(100 \times 4.18 \times 35.0\);
14630 J / 14600 J / 14.6 kJ;
Award [2] for correct final answer.
No ECF here if incorrect mass used.
(ii) \(\frac{{1.78}}{{46.08}} = 0.0386{\text{ mol}}\);
\(\frac{{14.6}}{{0.0386}} = ( - )378{\text{ kJ}}\,{\text{mo}}{{\text{l}}^{ - 1}}\);
Accept (–)377 and (–)379 kJ\(\,\)mol–1.
Award [2] for correct final answer.
(iii) heat loss;
incomplete combustion;
heat absorbed by calorimeter not included;
Accept other sensible suggestions.
same general formula;
same functional group;
successive members differ by CH2;
Allow methylene for CH2.
similar chemical properties;
gradually changing physical properties;
(i) A: butan-1-ol;
B: butan-2-ol;
C: (2-)methylpropan-2-ol;
D: (2-)methylpropan-1-ol;
Accept answers in the form of 1-butanol and 2-methyl-2-propanol etc.
Penalize incorrect punctuation, e.g. commas for hyphens, only once.
(ii) C/(2-)methylpropan-2-ol;
(iii) A/butan-1-ol;
(iv) B/butan-2-ol;
(v) 
(i) SN2;
(ii) 
curly arrow going from lone pair/negative charge on O in \({\text{O}}{{\text{H}}^ - }\) to C;
Do not allow curly arrow originating on H in OH–.
curly arrow showing Br leaving;
Accept curly arrow either going from bond between C and Br to Br in 1-bromobutane or in the transition state.
representation of transition state showing negative charge, square brackets and partial bonds;
Do not penalize if HO and Br are not at 180° to each other.
Do not award M3 if OH----C bond is represented.
Examiners report
This was the least popular of the Section B questions. (a) (i) was poorly answered. Many candidates had no idea and some candidates used the mass of ethanol instead of water. A few calculated correctly but failed to convert the mass of water to kg, or kJ to J, thereby ending up with the wrong unit for the answer. Only a small minority of candidates got (ii) correct. (iii) was well answered. Nearly all candidates referred to heat loss but only the better candidates were able to give a second reason.
Most candidates were able to describe two features of a homologous series in (b).
(c) was usually well done, but some candidates struggled with the structural formula of the ether isomer of \({{\text{C}}_{\text{4}}}{{\text{H}}_{{\text{10}}}}{\text{O}}\) in (v).
One G2 comment stated that the ether functional group is not listed as one of the formal functional groups in Topic 10, which is correct. However, this aspect has been asked previously on SL papers in relation to deducing specific isomers (rather than naming the ether group) and although candidates are not required to know that C-O-C is the ether functional group, there is an expectation that they should be able to deduce an isomer based on C-O-C, as this is cited explicitly in AS 4.3.2, in the teacher’s notes in relation to \({\text{C}}{{\text{H}}_{\text{3}}}{\text{OC}}{{\text{H}}_{\text{3}}}\) and \({\text{C}}{{\text{H}}_{\text{3}}}{\text{C}}{{\text{H}}_{\text{2}}}{\text{OH}}\), making this very much an objective 3 question, linking concepts across the syllabus.
SN2 was commonly given but the mechanism in (ii) was exceptionally poorly answered in this session. In particular, the transition state was rarely drawn, and clearly candidates were not prepared for organic reaction mechanisms, even though there are only a few such examples on the syllabus as a whole.
An organic compound, X, with a molar mass of approximately \({\text{88 g}}\,{\text{mo}}{{\text{l}}^{ - 1}}\) contains 54.5% carbon, 36.3% oxygen and 9.2% hydrogen by mass.
(i) Distinguish between the terms empirical formula and molecular formula.
Empirical formula:
Molecular formula:
(ii) Determine the empirical formula of X.
(iii) Determine the molecular formula of X.
(iv) X is a straight-chain carboxylic acid. Draw its structural formula.
(v) Draw the structural formula of an isomer of X which is an ester.
(vi) The carboxylic acid contains two different carbon-oxygen bonds. Identify which bond is stronger and which bond is longer.
Stronger bond:
Longer bond:
(i) State and explain which of propan-1-ol, \({\text{C}}{{\text{H}}_{\text{3}}}{\text{C}}{{\text{H}}_{\text{2}}}{\text{C}}{{\text{H}}_{\text{2}}}{\text{OH}}\), and methoxyethane, \({\text{C}}{{\text{H}}_{\text{3}}}{\text{OC}}{{\text{H}}_{\text{2}}}{\text{C}}{{\text{H}}_{\text{3}}}\), is more volatile.
(ii) Propan-1-ol, \({\text{C}}{{\text{H}}_{\text{3}}}{\text{C}}{{\text{H}}_{\text{2}}}{\text{C}}{{\text{H}}_{\text{2}}}{\text{OH}}\), and hexan-l-ol, \({\text{C}}{{\text{H}}_{\text{3}}}{{\text{(C}}{{\text{H}}_{\text{2}}}{\text{)}}_{\text{4}}}{\text{C}}{{\text{H}}_{\text{2}}}{\text{OH}}\), are both alcohols. State and explain which compound is more soluble in water.
Graphite is used as a lubricant and is an electrical conductor. Diamond is hard and does not conduct electricity. Explain these statements in terms of the structure and bonding of these allotropes of carbon.
Graphite:
Diamond:
Markscheme
(i) Empirical formula:
simplest (whole number) ratio of atoms/moles of each element present in a compound/molecule;
Molecular formula:
actual numbers of atoms/moles of each element present in a compound/molecule / whole number multiple of empirical formula;
(ii) \(n{\text{(C)}} = 4.54{\text{ (mol), }}n{\text{(H)}} = 9.11{\text{ (mol)}}\) and \(n{\text{(O)}} = 2.27{\text{ (mol)}}\);
\({{\text{C}}_{\text{2}}}{{\text{H}}_{\text{4}}}{\text{O}}\);
Accept other valid method for calculation.
(iii) \({{\text{C}}_{\text{4}}}{{\text{H}}_{\text{8}}}{{\text{O}}_{\text{2}}}\);
(iv) \({\text{C}}{{\text{H}}_{\text{3}}}{\text{C}}{{\text{H}}_{\text{2}}}{\text{C}}{{\text{H}}_{\text{2}}}{\text{COOH}}\);
Accept full or condensed structural formulas.
(v) \({\text{C}}{{\text{H}}_{\text{3}}}{\text{C}}{{\text{H}}_2}{\text{COOC}}{{\text{H}}_3}/{\text{C}}{{\text{H}}_3}{\text{COOC}}{{\text{H}}_2}{\text{C}}{{\text{H}}_3}/{\text{HCOOC}}{{\text{H}}_2}{\text{C}}{{\text{H}}_2}{\text{C}}{{\text{H}}_3}/{\text{HCOOCH(C}}{{\text{H}}_3}{{\text{)}}_2}\);
Accept full or condensed structural formulas.
(vi) Stronger bond:
C=O/double bond;
Longer bond:
C–O/single bond;
(i) methoxyethane/ \({\text{C}}{{\text{H}}_3}{\text{OC}}{{\text{H}}_2}{\text{C}}{{\text{H}}_3}\) as there are only dipole-dipole forces (and van der Waals’ forces) between molecules;
propan-1-ol has hydrogen bonding between molecules;
hydrogen bonding is stronger than dipole-dipole forces;
(ii) propan-1-ol/ \({\text{C}}{{\text{H}}_3}{\text{C}}{{\text{H}}_2}{\text{C}}{{\text{H}}_2}{\text{OH}}\) as it has a smaller hydrocarbon chain;
the longer (non-polar) carbon chain in hexan-1-ol decreases the attraction between the alcohol and the (polar) water molecules / OWTTE;
graphite:
forms flat hexagonal rings / layers of carbon atoms each (covalently) bonded to 3 other carbon atoms / trigonal planar around C / C has \({\text{s}}{{\text{p}}^{\text{2}}}\) hybridization;
layers are held together by weak intermolecular/van der Waals’ forces;
layers can slide over each other;
delocalization of electrons / free moving electrons;
diamond:
all carbon atoms are (covalently) bonded to 4 other carbon atoms / tetrahedral around C / C has \({\text{s}}{{\text{p}}^{\text{3}}}\) hybridization;
strong covalent bonds;
no delocalized electrons / OWTTE;
Examiners report
There were some vague and convoluted definitions in (a)(i) but thereafter the calculations were well done. Where difficulty was found, was in the formula of an ester in (v), (AS 10.1.11).
The answers to (b)(i) were reasonable, although it was common to state that the intermolecular bonding in methoxyethane is van der Waals‘. Some G2s took issue with the examination of ethers in organic chemistry; it was, in fact, examined under AS 4.3.2. In (ii), some mentioned a “larger molecule” rather than a “longer chain” and few were able to explain the attraction (or lack thereof) between the organic molecule and water.
Part (c) suggested that there is work to be done on understanding the structures of graphite and diamond. One particular mark lost was not to state that the reason diamond is hard is because the covalent bonds are strong.
In some countries, ethanol is mixed with gasoline (petrol) to produce a fuel for cars called gasohol.
Define the term average bond enthalpy.
Use the information from Table 10 of the Data Booklet to determine the standard enthalpy change for the complete combustion of ethanol.
\[{\text{C}}{{\text{H}}_{\text{3}}}{\text{C}}{{\text{H}}_{\text{2}}}{\text{OH(g)}} + {\text{3}}{{\text{O}}_{\text{2}}}{\text{(g)}} \to {\text{2C}}{{\text{O}}_{\text{2}}}{\text{(g)}} + {\text{3}}{{\text{H}}_{\text{2}}}{\text{O(g)}}\]
The standard enthalpy change for the complete combustion of octane, \({{\text{C}}_{\text{8}}}{{\text{H}}_{{\text{18}}}}\), is \( - 5471{\text{ kJ}}\,{\text{mo}}{{\text{l}}^{ - 1}}\). Calculate the amount of energy produced in kJ when 1 g of ethanol and 1 g of octane is burned completely in air.
Ethanol can be oxidized using acidified potassium dichromate, \({{\text{K}}_{\text{2}}}{\text{C}}{{\text{r}}_{\text{2}}}{{\text{O}}_{\text{7}}}\), to form two different organic products.
\({\text{C}}{{\text{H}}_{\text{3}}}{\text{C}}{{\text{H}}_{\text{2}}}{\text{OH}}\xrightarrow[{{{\text{H}}^ + }}]{{{\text{C}}{{\text{r}}_{\text{2}}}{\text{O}}_7^{2 - }}}\) A \(\xrightarrow[{{{\text{H}}^ + }}]{{{\text{C}}{{\text{r}}_{\text{2}}}{\text{O}}_7^{2 - }}}\) B
State the structural formulas of the organic products A and B and describe the conditions required to obtain a high yield of each of them.
Deduce and explain whether ethanol or A has the higher boiling point.
Ethene can be converted into ethanol by direct hydration in the presence of a catalyst according to the following equation.
\[{{\text{C}}_{\text{2}}}{{\text{H}}_{\text{4}}}{\text{(g)}} + {{\text{H}}_{\text{2}}}{\text{O(g)}} \rightleftharpoons {\text{C}}{{\text{H}}_{\text{3}}}{\text{C}}{{\text{H}}_{\text{2}}}{\text{OH(g)}}\]
For this reaction identify the catalyst used and state one use of the ethanol formed other than as a fuel.
State the name of one structural isomer of pentane.
Markscheme
energy required to break (1 mol of) a bond in a gaseous molecule/state;
Accept energy released when (1 mol of) a bond is formed in a gaseous molecule/state / enthalpy change when (1 mol of) bonds are made or broken in the gaseous molecule/state.
average values obtained from a number of similar bonds/compounds / OWTTE;
Bonds broken
\({\text{(1)(C}}–{\text{C)}} + {\text{(1)(O}}–{\text{H)}} + {\text{(5)(C}}–{\text{H)}} + {\text{(1)(C}}–{\text{O)}} + {\text{(3)(O=O)}}\)
\( = (1)(347) + (1)(464) + (5)(413) + (1)(358) + (3)(498) = 4728{\text{ (kJ)}}\);
Bonds formed
\({\text{(2}} \times {\text{2)(C=O)}} + {\text{(3}} \times {\text{2)(O}}–{\text{H)}}\)
\( = (4)(746) + (6)(464) = 5768{\text{ (kJ)}}\);
\(\Delta H = 4728 - 5768 = - 1040{\text{ kJ}}\,{\text{mo}}{{\text{l}}^{ - 1}}/ - 1040{\text{ kJ}}\);
Units needed for last mark.
Award [3] for final correct answer.
Award [2] for +1040 kJ.
\({M_{\text{r}}}{\text{(}}{{\text{C}}_{\text{2}}}{{\text{H}}_{\text{5}}}{\text{OH)}} = 46.08/46.1\) and \({M_{\text{r}}}{\text{(}}{{\text{C}}_{\text{8}}}{{\text{H}}_{{\text{18}}}}{\text{)}} = 114.26/114.3\);
1ethanol produces 22.57 kJ and 1octane produces 47.88 kJ;
Accept values ranges of 22.5–23 and 47.8–48 kJ respectively.
No penalty for use of Mr = 46 and Mr = 114.
A: \({\text{C}}{{\text{H}}_{\text{3}}}{\text{CHO}}\);
B: \({\text{C}}{{\text{H}}_{\text{3}}}{\text{COOH/C}}{{\text{H}}_{\text{3}}}{\text{C}}{{\text{O}}_{\text{2}}}{\text{H}}\);
Accept either full or condensed structural formulas but not the names or molecular formulas.
A: distillation;
B: reflux;
ethanol/; \({\text{C}}{{\text{H}}_{\text{3}}}{\text{C}}{{\text{H}}_{\text{2}}}{\text{OH}}\)
hydrogen bonding (in ethanol);
Award second point only if the first is obtained.
(concentrated) \({{\text{H}}_{\text{3}}}{\text{P}}{{\text{O}}_{\text{4}}}\)/(concentrated) phosphoric acid / \({{\text{H}}_{\text{2}}}{\text{S}}{{\text{O}}_{\text{4}}}\)/sulfuric acid;
dyes / drugs / cosmetics / solvent / (used to make) esters / (used in) esterification/disinfectant;
(2-)methylbutane / (2,2-)dimethylpropane;
Examiners report
The definition of average bond enthalpy given by most candidates was not complete in (a) (i). The word gaseous was missing and the fact that it is an average of values from bonds in similar compounds was very rarely mentioned.
In (ii) the calculation of the standard enthalpy change for the combustion of ethanol was done correctly by most candidates.
In (a) (iii) the amount of energy produced by 1g of ethanol and by 1g of octane was correctly calculated by some of the candidates.
Candidates gave correct formulas for the aldehyde and the carboxylic acid in (iv), but the conditions required to obtain a high yield were not correctly stated or were absent.
In (a) (v) most candidates correctly stated that ethanol would have a higher boiling point than ethanal because of the presence of hydrogen bonding in ethanol.
In (vi) the catalyst for the conversion of ethane into ethanol was not always identified.
In (b)(i) most candidates stated correctly that methylbutane would be a structural isomer of pentane.
Define the term average bond enthalpy.
Deduce the balanced chemical equation for the complete combustion of butan-1-ol.
Determine the standard enthalpy change, in \({\text{kJ}}\,{\text{mo}}{{\text{l}}^{ - 1}}\), for the complete combustion of butan-1-ol, using the information from Table 10 of the Data Booklet.
Based on the types of intermolecular force present, explain why butan-1-ol has a higher boiling point than butanal.
Markscheme
energy required to break (1 mol of) a bond in a gaseous molecule/state;
Accept energy released when (1 mol of) a bond is formed in a gaseous molecule/state / enthalpy change when (1 mol of) bonds are formed or broken in the gaseous molecule/state.
average values obtained from a number of similar bonds/compounds / OWTTE;
\({\text{C}}{{\text{H}}_3}{{\text{(C}}{{\text{H}}_2}{\text{)}}_3}{\text{OH(l)}} + {\text{6}}{{\text{O}}_2}{\text{(g)}} \to {\text{4C}}{{\text{O}}_2}{\text{(g)}} + {\text{5}}{{\text{H}}_2}{\text{O(l)}}\);
Allow C4H9OH or C4H10O for CH3(CH2)3OH.
Ignore state symbols.
Bonds broken:
(6)(O=O) \( + \) (3)(C–C) \( + \) (1)(O–H) \( + \) (1)(C–O) \( + \) (9)(C–H) /
\(\left( {(6)(498) + (3)(347) + (1)(464) + (1)(358) + (9)(413) = } \right){\text{ }}8568{\text{ (kJ}}\,{\text{mo}}{{\text{l}}^{ - 1}}{\text{)}}\);
Bonds formed:
(8)(C=O) \( + \) (10)(O–H) / \(\left( {(8)(746) + (10)(464) = } \right){\text{ }}10608{\text{ (kJ}}\,{\text{mo}}{{\text{l}}^{ - 1}}{\text{)}}\);
\(\Delta H{\text{ = }}(8568 - 10608 = ){\text{ }} - 2040{\text{ (kJ}}\,{\text{mo}}{{\text{l}}^{ - 1}}{\text{)}}\);
Award [3] for correct final answer.
Award [2] for +2040 (kJ\(\,\)mol–1).
hydrogen bonding in butan-1-ol;
stronger than dipole-dipole attractions in butanal;
Accept converse argument.
Do not penalize dipole-dipole bonding instead of dipole-dipole attractions.
Examiners report
Again this definition proved very challenging even though it has appeared on recent examination papers and very few scored both marks. Gaseous was often omitted and few stated that the average values are obtained from a number of similar bonds (again similar was often omitted).
In part (b) many of the better candidates were able to write the correct balanced combustion reaction. Some had an incorrect coefficient for oxygen and others wrote incorrect products which were often hydrocarbons.
In part (c) there were some fully correct responses, but many did lose marks. Common mistakes included using the O–O bond energy value instead of O=O. Others mixed up the signs.
In part (d) it was pleasing that nearly all candidates knew that hydrogen bonding occurs in butan-1-ol, but only the best students mentioned the dipole-dipole interactions in butanal. Generally butanal was described as having van der Waal’s or dispersion forces.
Acids play a key role in processes in everyday life.
The wine industry is important to the economy of many countries. Wine contains ethanol. In a laboratory in Chile, chemists tested the pH of a bottle of wine when opened and found it to have a pH of 3.8. After a few days, the pH had decreased to 2.8.
Deduce the change in hydrogen ion concentration, \({\text{[}}{{\text{H}}^ + }{\text{]}}\).
State the name of the compound formed that is responsible for this decreased pH value.
Sulfuric acid present in acid rain can damage buildings made of limestone. Predict the balanced chemical equation for the reaction between limestone and sulfuric acid including state symbols.
Markscheme
\({\text{[}}{{\text{H}}^ + }{\text{]}}\) increased by factor of 10;
Allow a difference of 1.426 \( \times \) 10–3.
ethanoic acid;
Allow acetic acid.
\({\text{CaC}}{{\text{O}}_3}{\text{(s)}} + {{\text{H}}_2}{\text{S}}{{\text{O}}_4}{\text{(aq)}} \to {\text{CaS}}{{\text{O}}_4}{\text{(s)}} + {{\text{H}}_2}{\text{O(l)}} + {\text{C}}{{\text{O}}_2}{\text{(g)}}\)
correct chemical equation;
correct state symbols;
Allow CaSO4(aq) instead of CaSO4(s).
M2 can only be scored if M1 is correct.
Award [1max] if H2CO3(aq) is given instead of H2O(l) + CO2(g).
Examiners report
Question 3 a)(i) presented difficulties to some candidates who attempted to calculate the concentration of \({\text{[}}{{\text{H}}^ + }{\text{]}}\) ions even though this is not on the SL course. Simply recognizing that a decrease in pH of 1 unit is equivalent to an increase in \({\text{[}}{{\text{H}}^ + }{\text{]}}\) by a factor of 10 was sufficient here (A.S. 8.4.3).
In a) (ii) many candidates correctly identified ethanoic acid as the cause of the decrease in pH. Some simply stated carboxylic acid, which is a class of compound and not a name of a compound.
Part b) was a challenge to candidates who did not know the formula of limestone. This reaction is mentioned in teachers’ notes in 8.3.1. State symbols were also required. Some candidates mistakenly identified sulfuric acid in acid rain as H2SO4(l) and did not score the second mark.
The boiling points of the isomers of pentane, \({{\text{C}}_{\text{5}}}{{\text{H}}_{{\text{12}}}}\), shown are 10, 28 and 36 °C, but not necessarily in that order.

Identify the boiling points for each of the isomers A, B and C and state a reason for your answer.

State the IUPAC names of isomers B and C.
B:
C:
Both \({{\text{C}}_{\text{5}}}{{\text{H}}_{{\text{12}}}}\) and \({{\text{C}}_{\text{5}}}{{\text{H}}_{{\text{11}}}}{\text{OH}}\) can be used as fuels. Predict which compound would release a greater amount of heat per gram when it undergoes complete combustion. Suggest two reasons to support your prediction.
In many cities around the world, public transport vehicles use diesel, a liquid hydrocarbon fuel, which often contains sulfur impurities and undergoes incomplete combustion. All public transport vehicles in New Delhi, India, have been converted to use compressed natural gas (CNG) as fuel. Suggest two ways in which this improves air quality, giving a reason for your answer.
Markscheme

Award [1] if correct boiling points are assigned to 3 isomers.
increase in branching / more side chains / more spherical shape / reduced surface contact / less closely packed;
weaker intermolecular force/van der Waals’/London/dispersion forces;
Accept the opposite arguments
B: 2-methylbutane/methylbutane;
C: 2,2-dimethyl propane/dimethyl propane;
Do not penalize missing commas, hyphens or added spaces.
Do not accept 2-dimethylpropane, or 2,2-methylpropane.
\({{\text{C}}_5}{{\text{H}}_{12}}\);
Accept any two of the following explanations.
\({{\text{C}}_5}{{\text{H}}_{11}}{\text{OH}}\) has greater molar mass / produces less grams of \({\text{C}}{{\text{O}}_2}\) and \({{\text{H}}_2}{\text{O}}\) per gram of the compound / suitable calculations to show this;
\({{\text{C}}_5}{{\text{H}}_{11}}{\text{OH}}\) contains an O atom which contributes nothing to the energy released / partially oxidized / OWTTE;
analogous compounds such as butane and butan-1-ol show a lower value for the alcohol per mole in the data book / OWTTE;
the total bond strength in the pentanol molecule is higher than the total bond strength in pentane;
the total amount of energy produced in bond formation of the products per mole is the same;
fewer moles of pentanol in 1 g;
pentanol requires more energy to break intermolecular forces/hydrogen bonding / OWTTE;
Improvements [2]
less/no particulates/C/CO/VOC’s produced with CNG;
less/no SO2/SOx produced;
Reasons [1 max]
CO/SO2 toxic/poisonous;
SO2 causes acid rain;
CNG is likely to undergo complete/more combustion;
CNG has no/less sulfur impurities;
Examiners report
This question also featured on the G2 forms, as some teachers thought that the inclusion of Aim 8 type questions such as this would disadvantage candidates. However performance by the majority was very good. It should be noted that questions of this type will always be asked in future papers. In (a), most candidates correctly identified the boiling points although some reversed the order and a few had B with the highest boiling point. Explanations for this trend were not so well answered. Some candidates referred to breaking bonds in the carbon chain and several answers referred to the length of the carbon chain rather than the degree of branching.
The IUPAC names were generally well known, with the most common errors being the use of “pent” instead of “prop” and the omission of one of the locants, or “di” in “2,2-dimethylpropane”.
Many candidates scored 0 in part b) as they incorrectly suggested that pentan-1-ol would have a larger energy density than pentane. It is clear from the variety of wrong answers and reasons that candidates are not familiar with the ideas tested in this question. Many candidates referred to hydrogen bonds between molecules, as a reason for pentan-1-ol releasing more energy, only a few consulted their Data Booklet and made reference to this.
In c) there were 2 marks for improvements to air quality and 1 mark for a reason. Most candidates included the idea that there would be less carbon monoxide formed and that this was a poisonous gas. There were fewer references to oxides of sulfur, although many said that CNG has fewer S impurities rather than to say that less SO2/SOx is released, in this case as they had already scored their explanation mark they could not score for this and ended up with 2 marks out of 3. Some candidates did not centre their answer on what was being asked. Also, some candidates said that natural gas is a natural fuel while diesel is not, and that natural gas, when it burns does not produce carbon dioxide.
Biodiesel makes use of plants’ ability to fix atmospheric carbon by photosynthesis. Many companies and individuals are now using biodiesel as a fuel in order to reduce their carbon footprint. Biodiesel can be synthesized from vegetable oil according to the following reaction.

The reversible arrows in the equation indicate that the production of biodiesel is an equilibrium process.
Identify the organic functional group present in both vegetable oil and biodiesel.
For part of her extended essay investigation into the efficiency of the process, a student reacted a pure sample of a vegetable oil (where \({\text{R}} = {{\text{C}}_{{\text{17}}}}{{\text{H}}_{{\text{33}}}}\)) with methanol. The raw data recorded for the reaction is below.
\[\begin{array}{*{20}{l}} {{\text{Mass of oil}}}&{ = 1013.0{\text{ g}}} \\ {{\text{Mass of methanol}}}&{ = 200.0{\text{ g}}} \\ {{\text{Mass of sodium hydroxide}}}&{ = 3.5{\text{ g}}} \\ {{\text{Mass of biodiesel produced}}}&{ = 811.0{\text{ g}}} \end{array}\]
The relative molecular mass of the oil used by the student is 885.6. Calculate the amount (in moles) of the oil and the methanol used, and hence the amount (in moles) of excess methanol.
State what is meant by the term dynamic equilibrium.
Using the abbreviations [vegetable oil], [methanol], [glycerol] and [biodiesel] deduce the equilibrium constant expression \({\text{(}}{K_{\text{c}}}{\text{)}}\) for this reaction.
Suggest a reason why excess methanol is used in this process.
State and explain the effect that the addition of the sodium hydroxide catalyst will have on the position of equilibrium.
The reactants had to be stirred vigorously because they formed two distinct layers in the reaction vessel. Explain why they form two distinct layers and why stirring increases the rate of reaction.
Calculate the percentage yield of biodiesel obtained in this process.
Markscheme
ester;
amount of oil \( = \frac{{1013.0}}{{885.6}} = 1.144{\text{ mol}}\);
amount of methanol \( = \frac{{200.0}}{{32.05}} = 6.240{\text{ mol}}\);
since three mol of methanol react with one mol of vegetable oil the amount of excess methanol \( = 6.204 - (3 \times 1.144) = 2.808{\text{ mol}}\);
rate of the forward reaction is equal to the rate of the reverse reaction / forward and reverse reactions occur and the concentrations of the reactants and products do not change / OWTTE;
\({K_{\text{c}}} = \frac{{{\text{[glycerol]}} \times {{{\text{[biodiesel]}}}^3}}}{{{\text{[vegetable oil]}} \times {{{\text{[methanol]}}}^3}}}\);
to move the position of equilibrium to the right/product side / increase the yield of biodiesel;
no effect (on position of equilibrium);
increases the rate of the forward and the reverse reactions equally (so equilibrium reached quicker) / it lowers Ea for both the forward and reverse reactions by the same amount / OWTTE;
No ECF for explanation.
vegetable oil is mainly non-polar and methanol is polar / OWTTE;
stirring brings them into more contact with each other / increase the frequency of collisions / OWTTE;
Do not allow simply mixing.
(relative molecular mass of biodiesel, \({{\text{C}}_{19}}{{\text{H}}_{36}}{{\text{O}}_2} = 296.55\))
maximum yield of biodiesel \( = 3.432{\text{ mol}}/1018{\text{ g}}\);
percentage yield \(\frac{{811.0}}{{1018}} \times 100 = 79.67\% \);
Allow 80% for percentage yield.
Examiners report
Part (a) was reasonably well answered with most candidates opting for an ester. Ketone (frequently spelt keytone) and carbonyl were the most common incorrect responses.
In Part (b) most candidates scored 1 or 2 marks, showing that they knew the correct method but the third mark proved to be more difficult to obtain, usually because the factor of 3 was omitted.
In general, equilibrium (Part (c)) seems to be quite well understood. The most common error in (i) was to describe the reaction as constant rather than having opposing reactions with equal rates.
The expression in (ii) was an easy mark for the better candidates. The weaker ones often missed one or both of the powers of three and a small number had + signs in both the numerator and denominator.
In (iii) the most common incorrect answer was ‘to use up all the vegetable oil’.
In (iv) most candidates were aware that a catalyst has no effect on the equilibrium constant but failed to gain the second mark for saying that the catalyst affected both reactions equally, either by increasing the rates equally or lowering the activation energy by the same amount.
Very few candidates scored both marks for Part (d) of the question. The better candidates realised that there was a difference in polarity, though not always identifying which reactant was polar and which was non-polar. The most common answers either simply stated that the two were immiscible or that they had different densities. For the second mark an increase in collisions was often mentioned but not always an increase in the frequency of collisions.
Candidates found Part (e) to be very difficult. This was not helped by the small amount of space available to them on the paper. Many answers expressed the data in terms which would have calculated (100 - %) as though they had been drilled to calculate % impurities.
Ethane reacts with chlorine in the presence of sunlight.
Complete the overall equation for this reaction by stating the products.
\({{\text{C}}_{\text{2}}}{{\text{H}}_{\text{6}}} + {\text{C}}{{\text{l}}_{\text{2}}} \to \)
State the type of mechanism by which this reaction occurs.
Traces of butane, \({{\text{C}}_{\text{4}}}{{\text{H}}_{{\text{10}}}}\), are also found amongst the products of this reaction. Explain how this product arises.
Markscheme
\({{\text{C}}_{\text{2}}}{{\text{H}}_{\text{5}}}{\text{Cl}}\) and HCl;
(free) radical substitution / \({{\text{S}}_{\text{R}}}\);
Accept homolytic fission / initiation and propagation (and termination).
ethyl radicals/\({{\text{C}}_{\text{2}}}{{\text{H}}_{\text{5}}} \bullet \) produced;
Accept C2H5.
combine to form butane/\({{\text{C}}_{\text{4}}}{{\text{H}}_{{\text{10}}}}\);
Award [2] for the terminating step equation C2H5\( \bullet + \) C2H5\( \bullet \to \) C4H10.
Examiners report
The reaction of ethane reacting with chlorine in presence of sunlight was well answered although many candidates in part (a) wrote hydrogen as the product. In part (b) the candidates missed the word substitution or free radical instead of the complete answer free radical substitution. In part (c), several candidates mixed up the idea of ethyl free radicals with ethane molecules.
The reaction of ethane reacting with chlorine in presence of sunlight was well answered although many candidates in part (a) wrote hydrogen as the product. In part (b) the candidates missed the word substitution or free radical instead of the complete answer free radical substitution. In part (c), several candidates mixed up the idea of ethyl free radicals with ethane molecules.
The reaction of ethane reacting with chlorine in presence of sunlight was well answered although many candidates in part (a) wrote hydrogen as the product. In part (b) the candidates missed the word substitution or free radical instead of the complete answer free radical substitution. In part (c), several candidates mixed up the idea of ethyl free radicals with ethane molecules.
Hydrocarbons, such as nonane, \({{\text{C}}_{\text{9}}}{{\text{H}}_{{\text{20}}}}\), are essential as fuels and as raw materials.
Propene, which can be obtained from nonane, can be polymerized.
State a balanced equation for the complete combustion of nonane.
Combustion also often forms carbon and carbon monoxide. Outline what reaction conditions result in these being produced.
(i) State the type of polymerization that occurs.
(ii) Draw the structure of a segment of the polymer containing six carbon atoms.
Markscheme
\({{\text{C}}_9}{{\text{H}}_{20}}{\text{(l)}} + {\text{14}}{{\text{O}}_2}{\text{(g)}} \to {\text{9C}}{{\text{O}}_2}{\text{(g)}} + {\text{10}}{{\text{H}}_2}{\text{O(l)}}\)
correct reactants and products;
Do not penalize if heat given on RHS of eqn.
correct coefficients;
Ignore state symbols.
No ECF if reactants and products incorrect.
insufficient oxygen present / OWTTE;
Allow “air” instead of “oxygen”.
Do not accept “incomplete combustion”.
(i) addition (polymerization);
(ii)
;
Methyl groups must be on alternate carbons but accept other orientations.
Extension bonds required for the mark.
Allow mark if three repeating units (6 C–atoms in chain) given.
Examiners report
The range of marks students gained for this question ranged very widely, and responses were mixed. Many were able to give a balanced equation for the complete combustion of nonane although some gave hydrogen as a product and did not answer the question asked in (b) and instead referred to “incomplete combustion” as a condition. Addition polymerisation was unfamiliar to a surprising number of candidates and only the strongest candidates were able to give the structure of polypropene.
The range of marks students gained for this question ranged very widely, and responses were mixed. Many were able to give a balanced equation for the complete combustion of nonane although some gave hydrogen as a product and did not answer the question asked in (b) and instead referred to “incomplete combustion” as a condition. Addition polymerisation was unfamiliar to a surprising number of candidates and only the strongest candidates were able to give the structure of polypropene.
The range of marks students gained for this question ranged very widely, and responses were mixed. Many were able to give a balanced equation for the complete combustion of nonane although some gave hydrogen as a product and did not answer the question asked in (b) and instead referred to “incomplete combustion” as a condition. Addition polymerisation was unfamiliar to a surprising number of candidates and only the strongest candidates were able to give the structure of polypropene.
Consider the following sequence of reactions.
\[{\text{RC}}{{\text{H}}_3}\xrightarrow{{reaction 1}}{\text{RC}}{{\text{H}}_2}{\text{Br}}\xrightarrow{{reaction 2}}{\text{RC}}{{\text{H}}_2}{\text{OH}}\xrightarrow{{reaction 3}}{\text{RCOOH}}\]
\({\text{RC}}{{\text{H}}_{\text{3}}}\) is an unknown alkane in which R represents an alkyl group.
The mechanism in reaction 2 is described as SN2.
Propan-1-ol has two structural isomers.
The alkane contains 81.7% by mass of carbon. Determine its empirical formula, showing your working.
Equal volumes of carbon dioxide and the unknown alkane are found to have the same mass, measured to an accuracy of two significant figures, at the same temperature and pressure. Deduce the molecular formula of the alkane.
(i) State the reagent and conditions needed for reaction 1.
(ii) State the reagent(s) and conditions needed for reaction 3.
Reaction 1 involves a free-radical mechanism. Describe the stepwise mechanism, by giving equations to represent the initiation, propagation and termination steps.
(i) State the meaning of each of the symbols in SN2.
(ii) Explain the mechanism of this reaction using curly arrows to show the movement of electron pairs, and draw the structure of the transition state.
(i) Deduce the structural formula of each isomer.
(ii) Identify the isomer from part (f) (i) which has the higher boiling point and explain your choice. Refer to both isomers in your explanation.
Markscheme
\({{\text{n}}_{\text{C}}} = \frac{{81.7}}{{12.01}} = 6.80\) and \({{\text{n}}_{\text{H}}} = \frac{{18.3}}{{1.01}} = 18.1\);
ratio of 1: 2.67 /1: 2.7;
\({{\text{C}}_3}{{\text{H}}_8}\);
No penalty for using 12 and 1.
\({{\text{C}}_{\text{3}}}{{\text{H}}_{\text{8}}}\);
(i) \({\text{B}}{{\text{r}}_2}\) /bromine;
UV/ultraviolet light;
Accept hf/hv/sunlight.
(ii) \({\text{C}}{{\text{r}}_2}{\text{O}}_7^{2 - }\) / \({\text{MnO}}_4^ - \) and acidified/\({{\text{H}}^ + }\) /\({{\text{H}}_3}{{\text{O}}^ + }\);
Accept names.
heat / reflux;
initiation:
\({\text{B}}{{\text{r}}_2} \to 2{\text{Br}} \bullet \);
propagation:
\({\text{Br}} \bullet + {\text{RC}}{{\text{H}}_3} \to {\text{HBr}} + {\text{RC}}{{\text{H}}_2} \bullet \);
\({\text{RC}}{{\text{H}}_2} \bullet + {\text{B}}{{\text{r}}_2} \to {\text{RC}}{{\text{H}}_2}{\text{Br}} + {\text{Br}} \bullet \);
termination:
\({\text{Br}} \bullet + {\text{Br}} \bullet \to {\text{B}}{{\text{r}}_2}\);
\({\text{RC}}{{\text{H}}_2} \bullet + {\text{Br}} \bullet \to {\text{RC}}{{\text{H}}_2}{\text{Br}}\);
\({\text{RC}}{{\text{H}}_2} \bullet + {\text{RC}}{{\text{H}}_2} \bullet \to {\text{RC}}{{\text{H}}_2}{\text{C}}{{\text{H}}_2}{\text{R}}\);
Award [1] for any termination step.
Accept radical with or without \( \bullet \) throughout.
Do not penalise the use of an incorrect alkane in the mechanism.
(i) substitution and nucleophilic and bimolecular/two species in rate-determining step;
Allow second order in place of bimolecular.
(ii) 
curly arrow going from lone pair/negative charge on O in OH– to C;
Do not allow curly arrow originating on H in OH–.
curly arrow showing Br leaving;
Accept curly arrow either going from bond between C and Br to Br in bromoethane or in the transition state.
representation of transition state showing negative charge, square brackets and partial bonds;
Do not penalize if HO and Br are not at 180o to each other.
Do not award M3 if OH----C bond is represented unless already penalised in M1.
Do not penalise the use of an incorrect alkyl chain in the mechanism.
(i) \({\text{C}}{{\text{H}}_3}{\text{OC}}{{\text{H}}_2}{\text{C}}{{\text{H}}_3}\);
\({\text{C}}{{\text{H}}_3}{\text{CHOHC}}{{\text{H}}_3}\);
Allow more detailed structural formulas.
(ii) \({\text{C}}{{\text{H}}_3}{\text{CHOHC}}{{\text{H}}_3}\) has higher boiling point due to hydrogen bonding;
\({\text{C}}{{\text{H}}_3}{\text{OC}}{{\text{H}}_2}{\text{C}}{{\text{H}}_3}\) has lower boiling point due to Van der Waals’/London/dispersion/dipole-dipole forces;
Hydrogen bonds in \({\text{C}}{{\text{H}}_3}{\text{CHOHC}}{{\text{H}}_3}\) are stronger;
Allow ecf if wrong structures suggested.
Examiners report
This was the least popular question in Section B but there was a generally pleasing level of performance. Most candidates scored at least 2 out of 3 marks for calculating the empirical formula. Several candidates correctly worked out the ratio but then rounded 2.7 to 3 to give an incorrect empirical formula of \({\text{C}}{{\text{H}}_{\text{3}}}\) instead of \({{\text{C}}_{\text{3}}}{{\text{H}}_{\text{8}}}\).
Many did manage to calculate a correct molecular formula even though their empirical formula was incorrect.
Free radical substitution was well known, however, there was some confusion about whether the reagent was supposed to be Br2(g), Br2(aq) or Br2 in CCl4. Most stated that UV was required.
In 5(d) most candidates scored at least 3 marks out of 4. A few used Cl2 instead of Br2.
Most knew the meaning of the symbols SN2, however, a few did not correctly state the meaning of the 2. The mechanism caused some problems and some of the common errors here were drawing the curly arrow from the H; forgetting to include any curly arrow to show Br leaving; writing the partial bond from the nucleophile as OH---C; or missing the negative charge from the transition state. Unfortunately, most candidates had a combination of these errors. Also, in most cases the partial bonds were drawn at angles less than 180 degrees which, although not penalised, is totally incorrect as attack by the nucleophile must be on the opposite side to the halogen leaving.
Part (f) proved to be very confusing for many candidates. The structural isomers of propan-1-ol were commonly drawn as propan-1-ol and propan-2-ol, which then caused enormous difficulties in 5(f)(ii) when they had to identify the isomer with the higher boiling point.
Those who were relying on ECF marks here often predicted the wrong isomer or found it very difficult to explain their prediction. The few candidates who drew the isomers correctly as an ether and an alcohol were generally able to score full marks by predicting and explaining the different boiling points.
A hydrocarbon has the empirical formula \({{\text{C}}_{\text{3}}}{{\text{H}}_{\text{7}}}\). When 1.17 g of the compound is heated to 85 °C at a pressure of 101 kPa it occupies a volume of \({\text{400 c}}{{\text{m}}^{\text{3}}}\).
(i) Calculate the molar mass of the compound, showing your working.
(ii) Deduce the molecular formula of the compound.
\({{\text{C}}_{\text{5}}}{{\text{H}}_{{\text{12}}}}\) exists as three isomers. Identify the structure of the isomer with the lowest boiling point and explain your choice.
Ethanol is a primary alcohol that can be oxidized by acidified potassium dichromate(VI). Distinguish between the reaction conditions needed to produce ethanal and ethanoic acid.
Ethanal:
Ethanoic acid:
Determine the oxidation number of carbon in ethanol and ethanal.
Ethanol:
Ethanal:
Deduce the half-equation for the oxidation of ethanol to ethanal.
Deduce the overall redox equation for the reaction of ethanol to ethanal with acidified potassium dichromate(VI) by combining your answer to part (c) (iii) with the following half-equation:
\[{\text{C}}{{\text{r}}_{\text{2}}}{\text{O}}_{\text{7}}^{2 - }{\text{(aq)}} + {\text{14}}{{\text{H}}^ + }{\text{(aq)}} + {\text{6}}{{\text{e}}^ - } \to {\text{2C}}{{\text{r}}^{3 + }}{\text{(aq)}} + {\text{7}}{{\text{H}}_{\text{2}}}{\text{O(l)}}\]
Describe two characteristics of a reaction at equilibrium.
Describe how a catalyst increases the rate of a reaction.
State and explain the effect of a catalyst on the position of equilibrium.
Ethanoic acid reacts with ethanol to form the ester ethyl ethanoate.
\[{\text{C}}{{\text{H}}_{\text{3}}}{\text{COOH(l)}} + {\text{C}}{{\text{H}}_{\text{3}}}{\text{C}}{{\text{H}}_{\text{2}}}{\text{OH(l)?????C}}{{\text{H}}_{\text{3}}}{\text{COOC}}{{\text{H}}_{\text{2}}}{\text{C}}{{\text{H}}_{\text{3}}}{\text{(l)}} + {{\text{H}}_{\text{2}}}{\text{O(l)}}\]
The esterification reaction is exothermic. State the effect of increasing temperature on the value of the equilibrium constant (\({K_{\text{c}}}\)) for this reaction.
Markscheme
(i) \({\text{temperature}} = 358{\text{ K}}\);
\(M = \frac{{mRT}}{{pV}}/1.17 \times 8.31 \times \frac{{358}}{{(0.40 \times 101)}}\);
\({\text{(}}M = {\text{) }}86.2{\text{ (gmo}}{{\text{l}}^{ - 1}}{\text{)}}\);
Award [1 max] for correct final answer without working.
(ii) \({{\text{C}}_6}{{\text{H}}_{14}}\);
\({\text{C(C}}{{\text{H}}_3}{{\text{)}}_4}\);
Accept correct name 2,2-dimethylpropane.
Do not penalize missing H atoms.
weakest London/dispersion/van der Waals’/vdW/instantaneous induced dipoleinduced dipole forces because of smallest surface area/contact
OR
weakest London/dispersion/van der Waals’/vdW/ instantaneous induced dipoleinduced dipole forces because of least distortion of the electron cloud
OR
weakest London/dispersion/van der Waals’/vdW/ instantaneous induced dipoleinduced dipole forces because polarizability of electrons (in electron cloud) is less;
Accept other words to that effect but student must mention a correct IMF and a correct reason.
Ethanal: distill off product as it forms;
Accept distillation.
Ethanoic acid: (heat under) reflux / use excess oxidizing agent;
Ethanol: –2/–II;
Ethanal: –1/–I;
Do not accept 2– or 1–, but penalize only once.
\({\text{C}}{{\text{H}}_3}{\text{C}}{{\text{H}}_2}{\text{OH}} \to {\text{C}}{{\text{H}}_3}{\text{CHO}} + {\text{2}}{{\text{H}}^ + } + {\text{2}}{{\text{e}}^ - }\);
Half-equation required. Do not accept \({C_2}{H_5}OH + 2[O] \to C{H_3}CHO + {H_2}O\).
Accept e for \({e^ - }\).
\({\text{3C}}{{\text{H}}_3}{\text{C}}{{\text{H}}_2}{\text{OH(aq)}} + {\text{C}}{{\text{r}}_2}{\text{O}}_7^{2 - }{\text{(aq)}} + {\text{8}}{{\text{H}}^ + }{\text{(aq)}} \to {\text{2C}}{{\text{r}}^{{\text{3}} + }}{\text{(aq)}} + {\text{3C}}{{\text{H}}_3}{\text{CHO(l)}} + {\text{7}}{{\text{H}}_2}{\text{O(l)}}\)
correct reactants and products;
correct balancing;
M2 can only be scored if M1 correct.
Ignore state symbols.
rate of forward process/reaction = rate of backward/reverse process/reaction;
concentrations of reactants and products remain constant;
no change in macroscopic properties;
closed/isolated system / constant matter/energy;
provides alternative pathway (of lower energy);
lowers activation energy (of the reaction) / more particles with \(E \geqslant {E_{\text{a}}}\);
no effect (on position of equilibrium);
increases rate of forward and reverse reactions (equally);
decreases;
Examiners report
This was the least popular question however many who chose it were successful in parts. Part (a) that required a calculation of \({M_{\text{r}}}\) was quite well done. However (b) that asked for the isomer of \({{\text{C}}_{\text{5}}}{{\text{H}}_{{\text{12}}}}\) with the lowest boiling point was not well answered. Identification of the methods to produce ethanal or ethanoic acid was done well by the strong candidates and others just guessed. Deduction of oxidation numbers and then writing of redox equations was not well answered. However (d) and (e) about equilibrium were answered well by many candidates although there were again some very poor answers.
This was the least popular question however many who chose it were successful in parts. Part (a) that required a calculation of \({M_{\text{r}}}\) was quite well done. However (b) that asked for the isomer of \({{\text{C}}_{\text{5}}}{{\text{H}}_{{\text{12}}}}\) with the lowest boiling point was not well answered. Identification of the methods to produce ethanal or ethanoic acid was done well by the strong candidates and others just guessed. Deduction of oxidation numbers and then writing of redox equations was not well answered. However (d) and (e) about equilibrium were answered well by many candidates, although there were again some very poor answers.
This was the least popular question however many who chose it were successful in parts. Part (a) that required a calculation of \({M_{\text{r}}}\) was quite well done. However (b) that asked for the isomer of \({{\text{C}}_{\text{5}}}{{\text{H}}_{{\text{12}}}}\) with the lowest boiling point was not well answered. Identification of the methods to produce ethanal or ethanoic acid was done well by the strong candidates and others just guessed. Deduction of oxidation numbers and then writing of redox equations was not well answered. However (d) and (e) about equilibrium were answered well by many candidates, although there were again some very poor answers.
This was the least popular question however many who chose it were successful in parts. Part (a) that required a calculation of \({M_{\text{r}}}\) was quite well done. However (b) that asked for the isomer of \({{\text{C}}_{\text{5}}}{{\text{H}}_{{\text{12}}}}\) with the lowest boiling point was not well answered. Identification of the methods to produce ethanal or ethanoic acid was done well by the strong candidates and others just guessed. Deduction of oxidation numbers and then writing of redox equations was not well answered. However (d) and (e) about equilibrium were answered well by many candidates, although there were again some very poor answers.
This was the least popular question however many who chose it were successful in parts. Part (a) that required a calculation of \({M_{\text{r}}}\) was quite well done. However (b) that asked for the isomer of \({{\text{C}}_{\text{5}}}{{\text{H}}_{{\text{12}}}}\) with the lowest boiling point was not well answered. Identification of the methods to produce ethanal or ethanoic acid was done well by the strong candidates and others just guessed. Deduction of oxidation numbers and then writing of redox equations was not well answered. However (d) and (e) about equilibrium were answered well by many candidates, although there were again some very poor answers.
This was the least popular question however many who chose it were successful in parts. Part (a) that required a calculation of \({M_{\text{r}}}\) was quite well done. However (b) that asked for the isomer of \({{\text{C}}_{\text{5}}}{{\text{H}}_{{\text{12}}}}\) with the lowest boiling point was not well answered. Identification of the methods to produce ethanal or ethanoic acid was done well by the strong candidates and others just guessed. Deduction of oxidation numbers and then writing of redox equations was not well answered. However (d) and (e) about equilibrium were answered well by many candidates, although there were again some very poor answers.
This was the least popular question however many who chose it were successful in parts. Part (a) that required a calculation of \({M_{\text{r}}}\) was quite well done. However (b) that asked for the isomer of \({{\text{C}}_{\text{5}}}{{\text{H}}_{{\text{12}}}}\) with the lowest boiling point was not well answered. Identification of the methods to produce ethanal or ethanoic acid was done well by the strong candidates and others just guessed. Deduction of oxidation numbers and then writing of redox equations was not well answered. However (d) and (e) about equilibrium were answered well by many candidates, although there were again some very poor answers.
This was the least popular question however many who chose it were successful in parts. Part (a) that required a calculation of \({M_{\text{r}}}\) was quite well done. However (b) that asked for the isomer of \({{\text{C}}_{\text{5}}}{{\text{H}}_{{\text{12}}}}\) with the lowest boiling point was not well answered. Identification of the methods to produce ethanal or ethanoic acid was done well by the strong candidates and others just guessed. Deduction of oxidation numbers and then writing of redox equations was not well answered. However (d) and (e) about equilibrium were answered well by many candidates, although there were again some very poor answers.
This was the least popular question however many who chose it were successful in parts. Part (a) that required a calculation of \({M_{\text{r}}}\) was quite well done. However (b) that asked for the isomer of \({{\text{C}}_{\text{5}}}{{\text{H}}_{{\text{12}}}}\) with the lowest boiling point was not well answered. Identification of the methods to produce ethanal or ethanoic acid was done well by the strong candidates and others just guessed. Deduction of oxidation numbers and then writing of redox equations was not well answered. However (d) and (e) about equilibrium were answered well by many candidates, although there were again some very poor answers.
This was the least popular question however many who chose it were successful in parts. Part (a) that required a calculation of \({M_{\text{r}}}\) was quite well done. However (b) that asked for the isomer of \({{\text{C}}_{\text{5}}}{{\text{H}}_{{\text{12}}}}\) with the lowest boiling point was not well answered. Identification of the methods to produce ethanal or ethanoic acid was done well by the strong candidates and others just guessed. Deduction of oxidation numbers and then writing of redox equations was not well answered. However (d) and (e) about equilibrium were answered well by many candidates, although there were again some very poor answers.
Ethene, C2H4, and hydrazine, N2H4, are hydrides of adjacent elements in the periodic table.
The polarity of a molecule can be explained in terms of electronegativity.
The reaction between N2H4(aq) and HCl (aq) can be represented by the following equation.
\[{{\text{N}}_2}{{\text{H}}_4}({\text{aq)}} + 2{\text{HCl(aq)}} \to {{\text{N}}_2}{\text{H}}_6^{2 + }({\text{aq)}} + 2{\text{C}}{{\text{l}}^ - }({\text{aq)}}\]
(i) Draw Lewis (electron dot) structures for \({{\text{C}}_{\text{2}}}{{\text{H}}_{\text{4}}}\) and \({{\text{N}}_{\text{2}}}{{\text{H}}_{\text{4}}}\) showing all valence electrons.
(ii) State and explain the H–C–H bond angle in ethene and the H–N–H bond angle in hydrazine.
(i) Define the term electronegativity.
(ii) Compare the relative polarities of the C–H bond in ethene and the N–H bond in hydrazine.
(iii) Hydrazine is a polar molecule and ethene is non-polar. Explain why ethene is non-polar.
The boiling point of hydrazine is much higher than that of ethene. Explain this difference in terms of the intermolecular forces in each compound.
Hydrazine is a valuable rocket fuel.
The equation for the reaction between hydrazine and oxygen is given below.
\[{{\text{N}}_2}{{\text{H}}_4}({\text{g)}} + {{\text{O}}_2}({\text{g)}} \to {{\text{N}}_2}({\text{g)}} + 2{{\text{H}}_2}{\text{O(g)}}\]
Use the bond enthalpy values from Table 10 of the Data Booklet to determine the enthalpy change for this reaction.
State the name of the product and identify the type of reaction which occurs between ethene and hydrogen chloride.
(i) Identify the type of reaction that occurs.
(ii) Predict the value of the H–N–H bond angle in \({{\text{N}}_{\text{2}}}{\text{H}}_6^{2 + }\).
Markscheme
(i) 
Accept x’s, dots or lines for electron pairs
(ii) H–C–H:
any angle between 118° and 122°;
due to three negative charge centres/electron domains/electron pairs;
H–N–H:
any angle between 104° and 108°;
due to four negative charge centres/electron domains/electron pairs;
extra repulsion due to lone electron pairs;
Do not allow ECF for wrong Lewis structures.
(i) (relative) measure of an atoms attraction for electrons;
in a covalent bond / shared pair;
(ii) C–H is less polar as C is less electronegative / N–H bond is more polar as N is more electronegative / difference in electronegativity is greater for N-H than C-H;
(iii) bond polarities cancel in \({{\text{C}}_2}{{\text{H}}_4}\) / OWTTE;
weaker van der Waals’/London/dispersion/intermolecular forces in ethene;
stronger (intermolecular) hydrogen bonding in hydrazine;
If no comparison between strengths then [1 max].
bonds broken: 4 N–H, N–N, O=O / \( + {\text{2220 (kJ}}\,{\text{mo}}{{\text{l}}^{ - 1}}{\text{)}}\);
bonds formed: N\(\equiv\)N, 4O–H / \( - 2801{\text{ (kJ}}\,{\text{mo}}{{\text{l}}^{ - 1}}{\text{)}}\);
\( - 581{\text{ (kJ}}\,{\text{mo}}{{\text{l}}^{ - 1}}{\text{)}}\);
Award [3] for correct final answer.
chloroethane;
(electrophilic) addition;
Do not accept free radical/nucleophilic addition.
(i) acid-base/neutralization;
(ii) 109°/109.5°;
Examiners report
This was a popular question and was answered quite successfully. The Lewis structure for ethene was given correctly by the great majority of the candidates, but that of hydrazine by only about half of them. Incorrect answers had double bonds appearing between the 2 nitrogen atoms and lone pairs on nitrogen atoms not shown. Those who could draw the correct structure in (i) gave the correct bond angle, but the explanation was not given correctly by many. Only very few scored the five marks as many failed to mention the extra repulsion of the lone pair.
The definition of electronegativity was not well known and many forgot to mention covalent bond or got confused with ionization and electron affinity and talked about a mole of gaseous atoms.
In part (c) most knew that hydrogen bonding in hydrazine was stronger than the van der Waals’ forces in ethene and explained its higher boiling point. However, some candidates described hydrogen bonding as the bond between N and H in the molecule, and some omitted a comparison of the relative strengths.
The calculation for the enthalpy change produced some completely correct calculations but many candidates lost marks here for using the wrong bond energies, although ECF was applied to the structures drawn in part (a).
In (e) ‘addition’ was correctly identified as the reaction type by most but when asked in (f) to identify the final reaction type few recognised it as an acid-base reaction, however, the bond angle was given correctly by many.
In (e) ‘addition’ was correctly identified as the reaction type by most but when asked in (f) to identify the final reaction type few recognised it as an acid-base reaction, however, the bond angle was given correctly by many.
Ethane-1,2-diol, HOCH2CH2OH, has a wide variety of uses including the removal of ice from aircraft and heat transfer in a solar cell.
Ethane-1,2-diol can be formed according to the following reaction.
2CO (g) + 3H2 (g) \( \rightleftharpoons \) HOCH2CH2OH (g)
(i) Deduce the equilibrium constant expression, Kc, for this reaction.
(ii) State how increasing the pressure of the reaction mixture at constant temperature will affect the position of equilibrium and the value of Kc.
Position of equilibrium:
Kc:
(iii) Calculate the enthalpy change, ΔHθ, in kJ, for this reaction using section 11 of the data booklet. The bond enthalpy of the carbon–oxygen bond in CO (g) is 1077kJmol-1.
(iv) The enthalpy change, ΔHθ, for the following similar reaction is –233.8 kJ.
2CO(g) + 3H2(g) \( \rightleftharpoons \) HOCH2CH2OH (l)
Deduce why this value differs from your answer to (a)(iii).
Determine the average oxidation state of carbon in ethene and in ethane-1,2-diol.
Ethene:
Ethane-1,2-diol:
Explain why the boiling point of ethane-1,2-diol is significantly greater than that of ethene.
Ethane-1,2-diol can be oxidized first to ethanedioic acid, (COOH)2, and then to carbon dioxide and water. Suggest the reagents to oxidize ethane-1,2-diol.
Markscheme
(i)
\(\ll {K_{\text{C}}} = \gg \frac{{\left[ {{\text{HOC}}{{\text{H}}_{\text{2}}}{\text{C}}{{\text{H}}_{\text{2}}}{\text{OH}}} \right]}}{{{{\left[ {{\text{CO}}} \right]}^{\text{2}}} \times {{\left[ {{{\text{H}}_{\text{2}}}} \right]}^{\text{3}}}}}\)
(ii)
Position of equilibrium: moves to right OR favours product
Kc: no change OR is a constant at constant temperature
(iii)
Bonds broken: 2C≡O + 3(H-H) / 2(1077kJmol-1) + 3(436kJmol-1) / 3462 «kJ»
Bonds formed: 2(C-O) + 2(O-H) + 4(C-H) + (C-C) / 2(358kJmol-1) + 2(463kJmol-1) + 4(414kJmol-1) + 346kJmol-1 / 3644 «kJ»
«Enthalpy change = bonds broken - bonds formed = 3462 kJ - 3644 kJ =» -182 «kJ»
Award [3] for correct final answer.
Award [2 max] for «+»182 «kJ».
(iv)
in (a)(iii) gas is formed and in (a)(iv) liquid is formed
OR
products are in different states
OR
conversion of gas to liquid is exothermic
OR
conversion of liquid to gas is endothermic
OR
enthalpy of vapourisation needs to be taken into account
Accept product is «now» a liquid.
Accept answers referring to bond enthalpies being means/averages.
Ethene: –2
Ethane-1,2-diol: –1
Do not accept 2–, 1– respectively.
ethane-1,2-diol can hydrogen bond to other molecules «and ethene cannot»
OR
ethane-1,2-diol has «significantly» greater van der Waals forces
Accept converse arguments.
Award [0] if answer implies covalent bonds are broken
hydrogen bonding is «significantly» stronger than other intermolecular forces
acidified «potassium» dichromate«(VI)»/H+ AND K2Cr2O7/H+ AND Cr2O72-
OR
«acidified potassium» manganate(VII)/ «H+» KMnO4 /«H+» MnO4-
Accept Accept H2SO4 or H3PO4 for H+.
Accept “permanganate” for “manganate(VII)”.
Examiners report
Consider the following reactions.

An important environmental consideration is the appropriate disposal of cleaning solvents. An environmental waste treatment company analysed a cleaning solvent, J, and found it to contain the elements carbon, hydrogen and chlorine only. The chemical composition of J was determined using different analytical chemistry techniques.
Combustion Reaction:
Combustion of 1.30 g of J gave 0.872 g \({\text{C}}{{\text{O}}_{\text{2}}}\) and 0.089 g \({{\text{H}}_{\text{2}}}{\text{O}}\).
Precipitation Reaction with AgNO3(aq):
0.535 g of J gave 1.75 g AgCl precipitate.
One example of a homologous series is the alcohols. Describe two features of a homologous series.
The IUPAC name of X is 4-methylpentan-1-ol. State the IUPAC names of Y and Z.
Y:
Z:
State the reagents and reaction conditions used to convert X to Y and X to Z.
X to Y:
X to Z:
Z is an example of a weak acid. State what is meant by the term weak acid.
Discuss the volatility of Y compared to Z.
Determine the percentage by mass of carbon and hydrogen in J, using the combustion data.
Determine the percentage by mass of chlorine in J, using the precipitation data.
The molar mass was determined to be \({\text{131.38 g}}\,{\text{mo}}{{\text{l}}^{ - 1}}\). Deduce the molecular formula of J.
Markscheme
same functional group;
successive/neighbouring members differ by \({\text{C}}{{\text{H}}_{\text{2}}}\);
same general formula;
similar chemical properties;
gradation in physical properties;
Y: 4-methylpentanal;
Z: 4-methylpentanoic acid;
Award [1] if student has correct endings for both molecules but has used incorrect stem.
For both reactions reagents:
named suitable acidified oxidizing agent;
Suitable oxidizing agents are potassium dichromate(VI)/K2Cr2O7 / sodium dichromate(VI)/Na2Cr2O7 / dichromate/Cr2O72– / potassium manganate(VII)/potassium permanganate/KMnO4 / permanganate/manganate(VII)/MnO4–.
Accept H+/H2SO4 instead of sulfuric acid and acidified.
Allow potassium dichromate or sodium dichromate (i.e. without (VI)) or potassium manganate (i.e. without (VII).
Conditions:
distillation for X to Y and reflux for X to Z;
Award [1] if correct reagents and conditions identified for one process only.
acid partially dissociates/ionizes;
Y more volatile than Z;
hydrogen bonding in carboxylic acid/Z;
Accept converse argument.
\(\left( {\left( {\frac{{2 \times 1.01}}{{18.02}}} \right)(0.089) = } \right){\text{ }}1.0 \times {10^{ - 2}}{\text{ g H}}\) and \(\left( {\left( {\frac{{12.01}}{{44.01}}} \right)(0.872) = } \right){\text{ }}2.38 \times {10^{ - 1}}{\text{ g C}}\);
\(\left( {\left( {\frac{{0.238}}{{1.30}}} \right)(100) = } \right){\text{ }}18.3\% {\text{ C}}\);
\(\left( {\frac{{1.0 \times {{10}^{ - 2}}}}{{1.30}}} \right)(100) = 0.77\% {\text{ H}}\);
Award [3] for correct final answer of 18.3% C and 0.77% H without working.
Allow whole numbers for molar masses.
\(\left( {(1.75)\left( {\frac{{35.45}}{{143.32}}} \right) = } \right){\text{ }}0.433{\text{ g (Cl)}}\) and \(\left( {\left( {\frac{{0.433}}{{0.535}}} \right)(100) = } \right){\text{ }}80.9\% {\text{ (Cl)}}\);
Allow whole numbers for molar masses.
\(\left( {\frac{{18.3}}{{12.01}}} \right) = 1.52{\text{ mol C}}\) and \(\left( {\frac{{0.77}}{{1.01}}} \right) = 0.76{\text{ mol H}}\) and \(\left( {\frac{{80.9}}{{35.45}}} \right) = 2.28{\text{ mol Cl}}\);
Allow whole numbers for atomic masses.
Empirical formula \( = {{\text{C}}_2}{\text{HC}}{{\text{l}}_3}\);
Award [2] for correct empirical formula without working.
\({M_{\text{r}}} = (24.02 + 1.01 + 106.35) = 131.38\), so molecular formula is \({{\text{C}}_2}{\text{HC}}{{\text{l}}_3}\);
Award [3] for correct final answer without working.
Allow whole numbers for atomic masses.
Examiners report
Part (a) which asked for a description of a homologous series was generally very well answered.
1 out of 2 marks were commonly awarded, as students had the incorrect prefix or made errors such as 4-methylpentan-1-al instead of 4-methylpentanal.
Most candidates knew the reagents for the conversions of the alcohol but only the best candidates also knew the conditions.
Explanations of a weak acid were well done.
Explanations of volatility were well done.
Part (d) was a moles calculation based on experimental data, and was done very well by some of those that attempted it. However many candidates could not get through it and some left it blank.
Part (d) was a moles calculation based on experimental data, and was done very well by some of those that attempted it. However many candidates could not get through it and some left it blank.
Part (d) was a moles calculation based on experimental data, and was done very well by some of those that attempted it. However many candidates could not get through it and some left it blank.
The photochemical chlorination of methane can occur at low temperature.
Using relevant equations, show the initiation and the propagation steps for this reaction.
Bromine was added to hexane, hex-1-ene and benzene. Identify the compound(s) which will react with bromine in a well-lit laboratory.
Polyvinyl chloride (PVC) is a polymer with the following structure.
State the structural formula for the monomer of PVC.
Markscheme
Initiation:
Cl–Cl → Cl• + Cl•
Propagation:
Cl• + CH4 → Cl–H + •CH3
Cl–Cl + •CH3 → Cl–CH3 + Cl•
Do not penalize missing electron dot on radicals if consistent throughout.
Accept Cl2, HCl and CH3Cl without showing bonds.
Do not accept hydrogen radical, H• or H, but apply ECF to other propagation steps.
[3 marks]
hexane AND hex-1-ene
Accept “benzene AND hexane AND hex-1-ene”.
[1 mark]
OR
Accept “CH2CHCl” or “CHClCH2”.
Do not accept “C2H3Cl”.
[1 mark]
Examiners report
Consider the following list of organic compounds.
Compound 1: \({\text{C}}{{\text{H}}_{\text{3}}}{\text{C}}{{\text{H}}_{\text{2}}}{\text{CH(OH)C}}{{\text{H}}_{\text{3}}}\)
Compound 2: \({\text{C}}{{\text{H}}_{\text{3}}}{\text{C}}{{\text{H}}_{\text{2}}}{\text{COC}}{{\text{H}}_{\text{3}}}\)
Compound 3: \({\text{C}}{{\text{H}}_{\text{3}}}{\text{C}}{{\text{H}}_{\text{2}}}{\text{C}}{{\text{H}}_{\text{2}}}{\text{OH}}\)
Compound 4: \({\text{C}}{{\text{H}}_{\text{3}}}{\text{C}}{{\text{H}}_{\text{2}}}{\text{C}}{{\text{H}}_{\text{2}}}{\text{CHO}}\)
Hydrochloric acid neutralizes sodium hydroxide, forming sodium chloride and water.
\({\text{NaOH(aq)}} + {\text{HCl(aq)}} \to {\text{NaCl(aq)}} + {{\text{H}}_{\text{2}}}{\text{O(l)}}\) \(\Delta {H^\Theta } = -57.9{\text{ kJ}}\,{\text{mo}}{{\text{l}}^{ - 1}}\)
Apply IUPAC rules to state the name of compound 1.
(i) Define the term structural isomers.
(ii) Identify the two compounds in the list that are structural isomers of each other.
Determine the organic product formed when each of the compounds is heated under reflux with excess acidified potassium dichromate(VI). If no reaction occurs write NO REACTION in the table.

Explain the mechanism for the substitution reaction of bromoethane with sodium hydroxide. Use curly arrows to represent the movement of electron pairs.
(i) Define the term standard enthalpy change of reaction, \(\Delta {H^\Theta }\).
(ii) Determine the amount of energy released, in kJ, when \({\text{50.0 c}}{{\text{m}}^{\text{3}}}\) of \({\text{1.00 mol}}\,{\text{d}}{{\text{m}}^{ - 3}}\) sodium hydroxide solution reacts with \({\text{50.0 c}}{{\text{m}}^{\text{3}}}\) of \({\text{1.00 mol}}\,{\text{d}}{{\text{m}}^{ - 3}}\) hydrochloric acid solution.
(iii) In an experiment, 2.50 g of solid sodium hydroxide was dissolved in \({\text{50.0 c}}{{\text{m}}^{\text{3}}}\) of water. The temperature rose by 13.3 °C. Calculate the standard enthalpy change, in \({\text{kJ}}\,{\text{mo}}{{\text{l}}^{ - 1}}\), for dissolving one mole of solid sodium hydroxide in water.
\[{\text{NaOH(s)}} \to {\text{NaOH(aq)}}\]
(iv) Using relevant data from previous question parts, determine \(\Delta {H^\Theta }\), in \({\text{kJ}}\,{\text{mo}}{{\text{l}}^{ - 1}}\), for the reaction of solid sodium hydroxide with hydrochloric acid.
\[{\text{NaOH(s)}} + {\text{HCl(aq)}} \to {\text{NaCl(aq)}} + {{\text{H}}_{\text{2}}}{\text{O(l)}}\]
Markscheme
butan-2-ol/2-butanol;
(i) same molecular formula but differ in arrangement of their atoms;
Allow “different structures/structural formulas” instead of “different arrangement of atoms”.
(ii) (compounds) 2 and 4 / butanone and butanal;


curly arrow going from lone pair/negative charge on O in \({\text{H}}{{\text{O}}^ - }\) to C;
Do not allow curly arrow originating on H in HO–.
curly arrow showing Br leaving;
Accept curly arrow either going from bond between C and Br to Br in bromoethane or in the transition state.
representation of transition state showing negative charge, square brackets and partial bonds;
Do not penalize if HO and Br are not at 180° to each other.
Do not award M3 if OH—C bond is represented, but penalise wrong bonding once only.
formation of organic product \({\text{C}}{{\text{H}}_3}{\text{C}}{{\text{H}}_2}{\text{OH}}\) and \({\text{B}}{{\text{r}}^ - }\);
Accept “NaBr / Na+ and Br–” as product.
If candidate writes an SN1 mechanism then deduct 1 mark for this, so that it is marked out of [3 max].
(i) heat transferred/absorbed/released/enthalpy/potential energy change when 1 mol/molar amounts of reactant(s) react (to form products) / OWTTE;
under standard conditions / at a pressure 100 kPa/101.3 kPa/1 atm and temperature 298 K/25 °C;
Award [2] for difference between standard enthalpies of products and standard enthalpies of reactants / \({H^\Theta }\) (products) – \({H^\Theta }\) (reactants).
Award [2] for difference between standard enthalpies of formation of products and standard enthalpies of formation of reactants / \(\Sigma \Delta H_f^\Theta \) (products) – \(\Sigma \Delta H_f^\Theta \) (reactants).
(ii) \((1.00 \times 0.0500 = ){\text{ }}0.0500{\text{ (mol)}}\);
\((0.0500 \times 57.9 = ){\text{ }}2.90{\text{ (kJ)}}\);
Ignore any negative sign.
Award [2] for correct final answer.
Award [1 max] for 2900 J.
(iii) \(\left( {\frac{{2.50}}{{40.00}} = } \right){\text{ }}0.0625{\text{ (mol NaOH)}}\);
\(0.0500 \times 4.18 \times 13.3 = 2.78{\text{ (kJ)}}/50.0 \times 4.18 \times 13.3 = 2780{\text{ (J)}}\);
\(\left( {\frac{{2.78}}{{0.0625}}} \right) = - 44.5{\text{ }}({\text{kJ}}\,{\text{mo}}{{\text{l}}^{ - 1}})\);
Award [3] for correct final answer.
Negative sign is necessary for M3.
Award M2 and M3 if 52.5 g is used to obtain an enthalpy change of –46.7.
(iv) –44.5 – 57.9 / correct Hess’s Law cycle (as below) / correct manipulation of equations;

–102.4 (kJ);
Award [2] for correct final answer.
Examiners report
Most students scored well on naming the required compound from its formula in Part (a), likewise defining structural isomers and recognising compounds related in the way, required in Part (b), were rarely a challenge. In Part (c) students could usually identify whether compounds underwent oxidation and the products formed, with the most common mistake being to fail to notice that there was excess dichromate(VI) in the case of the primary alcohol. The mechanism required in Part (d) seemed to be known to many, though many candidates continue to lose marks through a lack of precision about the start and finish points of curly arrows. Many students gained at least one mark for the definition standard enthalpy change in the first section of Part (e), though few displayed the precision required for both marks. In the second section quite a few tried to solve the enthalpy problem by calorimetry rather than using the enthalpy of reaction that had been given. Generally speaking the next section, that did require calorimetry, was better done though the calculation of the amount of reagent and using the mass of liquid rather than solid for the heat evolved proved a challenge for some. Many candidates correctly combined their results, sometimes invoking Hess’ Law, in the final section, though many candidates benefited from the application of ECF.
Most students scored well on naming the required compound from its formula in Part (a), likewise defining structural isomers and recognising compounds related in the way, required in Part (b), were rarely a challenge. In Part (c) students could usually identify whether compounds underwent oxidation and the products formed, with the most common mistake being to fail to notice that there was excess dichromate(VI) in the case of the primary alcohol. The mechanism required in Part (d) seemed to be known to many, though many candidates continue to lose marks through a lack of precision about the start and finish points of curly arrows. Many students gained at least one mark for the definition standard enthalpy change in the first section of Part (e), though few displayed the precision required for both marks. In the second section quite a few tried to solve the enthalpy problem by calorimetry rather than using the enthalpy of reaction that had been given. Generally speaking the next section, that did require calorimetry, was better done though the calculation of the amount of reagent and using the mass of liquid rather than solid for the heat evolved proved a challenge for some. Many candidates correctly combined their results, sometimes invoking Hess’ Law, in the final section, though many candidates benefited from the application of ECF.
Most students scored well on naming the required compound from its formula in Part (a), likewise defining structural isomers and recognising compounds related in the way, required in Part (b), were rarely a challenge. In Part (c) students could usually identify whether compounds underwent oxidation and the products formed, with the most common mistake being to fail to notice that there was excess dichromate(VI) in the case of the primary alcohol. The mechanism required in Part (d) seemed to be known to many, though many candidates continue to lose marks through a lack of precision about the start and finish points of curly arrows. Many students gained at least one mark for the definition standard enthalpy change in the first section of Part (e), though few displayed the precision required for both marks. In the second section quite a few tried to solve the enthalpy problem by calorimetry rather than using the enthalpy of reaction that had been given. Generally speaking the next section, that did require calorimetry, was better done though the calculation of the amount of reagent and using the mass of liquid rather than solid for the heat evolved proved a challenge for some. Many candidates correctly combined their results, sometimes invoking Hess’ Law, in the final section, though many candidates benefited from the application of ECF.
Most students scored well on naming the required compound from its formula in Part (a), likewise defining structural isomers and recognising compounds related in the way, required in Part (b), were rarely a challenge. In Part (c) students could usually identify whether compounds underwent oxidation and the products formed, with the most common mistake being to fail to notice that there was excess dichromate(VI) in the case of the primary alcohol. The mechanism required in Part (d) seemed to be known to many, though many candidates continue to lose marks through a lack of precision about the start and finish points of curly arrows. Many students gained at least one mark for the definition standard enthalpy change in the first section of Part (e), though few displayed the precision required for both marks. In the second section quite a few tried to solve the enthalpy problem by calorimetry rather than using the enthalpy of reaction that had been given. Generally speaking the next section, that did require calorimetry, was better done though the calculation of the amount of reagent and using the mass of liquid rather than solid for the heat evolved proved a challenge for some. Many candidates correctly combined their results, sometimes invoking Hess’ Law, in the final section, though many candidates benefited from the application of ECF.
Most students scored well on naming the required compound from its formula in Part (a), likewise defining structural isomers and recognising compounds related in the way, required in Part (b), were rarely a challenge. In Part (c) students could usually identify whether compounds underwent oxidation and the products formed, with the most common mistake being to fail to notice that there was excess dichromate(VI) in the case of the primary alcohol. The mechanism required in Part (d) seemed to be known to many, though many candidates continue to lose marks through a lack of precision about the start and finish points of curly arrows. Many students gained at least one mark for the definition standard enthalpy change in the first section of Part (e), though few displayed the precision required for both marks. In the second section quite a few tried to solve the enthalpy problem by calorimetry rather than using the enthalpy of reaction that had been given. Generally speaking the next section, that did require calorimetry, was better done though the calculation of the amount of reagent and using the mass of liquid rather than solid for the heat evolved proved a challenge for some. Many candidates correctly combined their results, sometimes invoking Hess’ Law, in the final section, though many candidates benefited from the application of ECF.
Oxidation and reduction can be defined in terms of electron transfer or oxidation numbers.
Alcohols with the molecular formula \({{\text{C}}_{\text{4}}}{{\text{H}}_{\text{9}}}{\text{OH}}\) occur as four structural isomers. Three of the isomers can be oxidized with acidified potassium dichromate solution to form compounds with the molecular formula \({{\text{C}}_{\text{4}}}{{\text{H}}_{\text{8}}}{\text{O}}\). The half-equation for the dichromate ion is:
\[{\text{C}}{{\text{r}}_2}{\text{O}}_7^{2 - }{\text{(aq)}} + {\text{14}}{{\text{H}}^ + }{\text{(aq)}} + {\text{6}}{{\text{e}}^ - } \rightleftharpoons {\text{2C}}{{\text{r}}^{3 + }}{\text{(aq)}} + {\text{7}}{{\text{H}}_2}{\text{O(l)}}\]
Electrolysis has made it possible to obtain reactive metals from their ores.
A reactivity series can be experimentally determined by adding the metals W, X, Y and Z to solutions of these metal ions. The following reactions were observed:
\({{\text{W}}^{2 + }}{\text{(aq)}} + {\text{X(s)}} \to {\text{W(s)}} + {{\text{X}}^{2 + }}{\text{(aq)}}\)
\({\text{Y(s)}} + {{\text{W}}^{2 + }}{\text{(aq)}} \to {{\text{Y}}^{2 + }}{\text{(aq)}} + {\text{W(s)}}\)
\({{\text{Z}}^{2 + }}{\text{(aq)}} + {\text{W(s)}} \to {\text{Z(s)}} + {{\text{W}}^{2 + }}{\text{(aq)}}\)
\({\text{Y(s)}} + {{\text{X}}^{2 + }}{\text{(aq)}} \to {{\text{Y}}^{2 + }}{\text{(aq)}} + {\text{X(s)}}\)
Define oxidation in terms of electron transfer.
(i) Deduce the oxidation number of chromium in \({\text{C}}{{\text{r}}_{\text{2}}}{\text{O}}_{\text{7}}^{2 - }\).
(ii) Deduce the half-equation for the oxidation of the alcohol \({{\text{C}}_{\text{4}}}{{\text{H}}_{\text{9}}}{\text{OH}}\).
(iii) Deduce the overall equation for the redox reaction.
(iv) Two of the isomers with the molecular formula \({{\text{C}}_{\text{4}}}{{\text{H}}_{\text{9}}}{\text{OH}}\) can be oxidized further to form compounds with the molecular formula \({{\text{C}}_{\text{4}}}{{\text{H}}_{\text{8}}}{{\text{O}}_{\text{2}}}\). Deduce the structural formulas of these two isomers.
(v) One isomer cannot be oxidized by acidified potassium dichromate solution.
Deduce its structural formula, state its name and identify it as a primary, secondary or tertiary alcohol.
Name:
Alcohol:
(vi) All isomers of the alcohol \({{\text{C}}_{\text{4}}}{{\text{H}}_{\text{9}}}{\text{OH}}\) undergo complete combustion. State an equation for the complete combustion of \({{\text{C}}_{\text{4}}}{{\text{H}}_{\text{9}}}{\text{OH}}\).
(i) Draw a labelled electrolytic cell for the electrolysis of molten potassium bromide, KBr. Include the direction of electron flow, the positive electrode (anode) and the negative electrode (cathode), the location of oxidation and reduction, and the electrolyte.
(ii) Deduce a half-equation for the reaction that occurs at each electrode.
Positive electrode (anode):
Negative electrode (cathode):
(iii) Describe how current is conducted in a molten electrolyte.
(i) Deduce the order of reactivity of these four metals, from the least to the most reactive.
(ii) A voltaic cell is made by connecting a half-cell of X in \({\text{XC}}{{\text{l}}_{\text{2}}}{\text{(aq)}}\) to a half-cell of Z in \({\text{ZC}}{{\text{l}}_{\text{2}}}{\text{(aq)}}\). Deduce the overall equation for the reaction taking place when the cell is operating.
Markscheme
loss of electrons;
(i) \( + 6{\text{/VI}}\);
Do not award mark if incorrect notation used, ie, 6 , 6+ or –6.
(ii) \({{\text{C}}_4}{{\text{H}}_9}{\text{OH(l)}} \to {{\text{C}}_4}{{\text{H}}_8}{\text{O(l)}} + {\text{2}}{{\text{H}}^ + }{\text{(aq)}} + {\text{2}}{{\text{e}}^ - }\);
Ignore state symbols.
(iii) \({\text{3}}{{\text{C}}_4}{{\text{H}}_9}{\text{OH(l)}} + {\text{C}}{{\text{r}}_2}{\text{O}}_7^{2 - }{\text{(aq)}} + {\text{8}}{{\text{H}}^ + }{\text{(aq)}} \to {\text{3}}{{\text{C}}_4}{{\text{H}}_8}{\text{O(l)}} + {\text{2C}}{{\text{r}}^{3 + }}{\text{(aq)}} + {\text{7}}{{\text{H}}_2}{\text{O(l)}}\);
Ignore state symbols.
(iv) \({\text{C}}{{\text{H}}_3}{\text{C}}{{\text{H}}_2}{\text{C}}{{\text{H}}_2}{\text{C}}{{\text{H}}_2}{\text{OH}}\);
\({{\text{(C}}{{\text{H}}_3}{\text{)}}_2}{\text{CHC}}{{\text{H}}_2}{\text{OH}}\);
Accept full or condensed structural formulas.
(v) \({{\text{(C}}{{\text{H}}_3}{\text{)}}_3}{\text{COH}}\);
2-methylpropan-2-ol;
Allow 2-methyl-2-propanol , methylpropan-2-ol, methyl-2-propanol.
tertiary;
(vi) \({{\text{C}}_4}{{\text{H}}_9}{\text{OH}} + {\text{6}}{{\text{O}}_2} \to {\text{4C}}{{\text{O}}_2} + {\text{5}}{{\text{H}}_2}{\text{O}}/{{\text{(C}}{{\text{H}}_3}{\text{)}}_3}{\text{COH}} + {\text{6}}{{\text{O}}_2} \to {\text{4C}}{{\text{O}}_2} + {\text{5}}{{\text{H}}_2}{\text{O}}\)
correct reactants and products;
correct balancing;
(i) (DC) power supply

(DC) power supply / battery;
electrodes labelled as +/anode or –/cathode and electron flow;
reduction at negative electrode (cathode) / oxidation at positive electrode (anode);
electrolyte / molten KBr/KBr(l) / \({{\text{K}}^ + }{\text{(l)}}\) and \({\text{B}}{{\text{r}}^ - }{\text{(l)}}\);
(ii) Positive electrode (anode):
\({\text{2B}}{{\text{r}}^ - }{\text{(l)}} \to {\text{B}}{{\text{r}}_2}{\text{(l)}} + {\text{2}}{{\text{e}}^ - }\);
Negative electrode (cathode):
\({{\text{K}}^ + }{\text{(l)}} + {{\text{e}}^ - } \to {\text{K(l)}}\);
Award [1 max] if correct half-equations are given at the wrong electrodes.
Allow e instead of e–.
Ignore state symbols.
Penalize equilibrium sign once only.
(iii) positive ions move towards negative electrode (cathode) and negative ions move towards positive electrode (anode) / ions move to oppositely charged electrode / negative ions give up electrons at positive electrode and positive ions gain electrons at negative electrode;
(i) \({\text{Z}} < {\text{W}} < {\text{X}} < {\text{Y}}\);
Accept \(Y > X > W > Z\).
(ii) \({\text{X(s)}} + {{\text{Z}}^{2 + }}{\text{(aq)}} \to {{\text{X}}^{2 + }}{\text{(aq)}} + {\text{Z(s)}}\);
Ignore state symbols.
Accept X(s) + ZCl2(aq) \( \to \) XCl2(aq) + Z(s).
Examiners report
This was another popular choice of question in Section B. In part (a) almost all candidates defined oxidation correctly. The oxidation number of chromium was mostly determined correctly in (b)(i), but only the better candidates could write the half-equation for the oxidation of the alcohol \({{\text{C}}_{\text{4}}}{{\text{H}}_{\text{9}}}{\text{OH}}\) in (b)(ii), even though the product was identified in the question as \({{\text{C}}_{\text{4}}}{{\text{H}}_{\text{8}}}{\text{O}}\). Subsequently the overall equation of the redox reaction in (b)(iii) was poorly answered. One respondent stated that balanced redox equations are not required. This is stated in 9.2.2. In (b)(iv), candidates who realized the product with molecular formula \({{\text{C}}_{\text{4}}}{{\text{H}}_{\text{8}}}{{\text{O}}_{\text{2}}}\) was an acid, deduced correct formulas of the two primary alcohols, though some did not read the question and gave the formulae for the acid and not the alcohol. Commonly, candidates drew isomers of \({{\text{C}}_{\text{4}}}{{\text{H}}_{\text{9}}}{\text{OH}}\) giving one primary structure and one secondary structure. Incorrect structures frequently had oxygen atoms connected to the molecule with single bonds but nothing else attached. Part (v) required candidates to identify the isomer which cannot be oxidized by acidified potassium dichromate solution. Many candidates correctly gave the formula and name of the tertiary alcohol. In (b)(vi) several candidates gave a correct equation for the combustion of alcohols but more usually one mark was scored for correct reactants and products and the mark for correct balancing was missed. Part (c) was on electrolysis. There were several poorly drawn electrolytic cells in (c)(i), sometimes even with the electrodes outside of the electrolyte, but most candidates managed a few marks and many candidates scored full marks. A significant number of candidates drew a voltaic cell with a salt bridge and a small minority had the battery terminals incorrectly connected or drew a voltmeter. The half-equations for electrode reactions were poorly done in (c)(ii) with several candidates again writing whole equations. The reduction of the potassium ion was often given at the anode and the oxidation of the bromide ion was seldom done well with many candidates writing a reduction half-equation for Br2. In (c)(iii) candidates described poorly how current is conducted in a molten electrolyte. The common response was that electrons are forced through the solution from the cathode to the anode. Many candidates deduced a correct order of reactivity for the metals listed in (d)(i) but the overall equation for the reaction occurring in a voltaic cell made from two of the metals was either done well or was completely wrong in (d)(ii).
This was another popular choice of question in Section B. In part (a) almost all candidates defined oxidation correctly. The oxidation number of chromium was mostly determined correctly in (b)(i), but only the better candidates could write the half-equation for the oxidation of the alcohol \({{\text{C}}_{\text{4}}}{{\text{H}}_{\text{9}}}{\text{OH}}\) in (b)(ii), even though the product was identified in the question as \({{\text{C}}_{\text{4}}}{{\text{H}}_{\text{8}}}{\text{O}}\). Subsequently the overall equation of the redox reaction in (b)(iii) was poorly answered. One respondent stated that balanced redox equations are not required. This is stated in 9.2.2. In (b)(iv), candidates who realized the product with molecular formula \({{\text{C}}_{\text{4}}}{{\text{H}}_{\text{8}}}{{\text{O}}_{\text{2}}}\) was an acid, deduced correct formulas of the two primary alcohols, though some did not read the question and gave the formulae for the acid and not the alcohol. Commonly, candidates drew isomers of \({{\text{C}}_{\text{4}}}{{\text{H}}_{\text{9}}}{\text{OH}}\) giving one primary structure and one secondary structure. Incorrect structures frequently had oxygen atoms connected to the molecule with single bonds but nothing else attached. Part (v) required candidates to identify the isomer which cannot be oxidized by acidified potassium dichromate solution. Many candidates correctly gave the formula and name of the tertiary alcohol. In (b)(vi) several candidates gave a correct equation for the combustion of alcohols but more usually one mark was scored for correct reactants and products and the mark for correct balancing was missed. Part (c) was on electrolysis. There were several poorly drawn electrolytic cells in (c)(i), sometimes even with the electrodes outside of the electrolyte, but most candidates managed a few marks and many candidates scored full marks. A significant number of candidates drew a voltaic cell with a salt bridge and a small minority had the battery terminals incorrectly connected or drew a voltmeter. The half-equations for electrode reactions were poorly done in (c)(ii) with several candidates again writing whole equations. The reduction of the potassium ion was often given at the anode and the oxidation of the bromide ion was seldom done well with many candidates writing a reduction half-equation for Br2. In (c)(iii) candidates described poorly how current is conducted in a molten electrolyte. The common response was that electrons are forced through the solution from the cathode to the anode. Many candidates deduced a correct order of reactivity for the metals listed in (d)(i) but the overall equation for the reaction occurring in a voltaic cell made from two of the metals was either done well or was completely wrong in (d)(ii).
This was another popular choice of question in Section B. In part (a) almost all candidates defined oxidation correctly. The oxidation number of chromium was mostly determined correctly in (b)(i), but only the better candidates could write the half-equation for the oxidation of the alcohol \({{\text{C}}_{\text{4}}}{{\text{H}}_{\text{9}}}{\text{OH}}\) in (b)(ii), even though the product was identified in the question as \({{\text{C}}_{\text{4}}}{{\text{H}}_{\text{8}}}{\text{O}}\). Subsequently the overall equation of the redox reaction in (b)(iii) was poorly answered. One respondent stated that balanced redox equations are not required. This is stated in 9.2.2. In (b)(iv), candidates who realized the product with molecular formula \({{\text{C}}_{\text{4}}}{{\text{H}}_{\text{8}}}{{\text{O}}_{\text{2}}}\) was an acid, deduced correct formulas of the two primary alcohols, though some did not read the question and gave the formulae for the acid and not the alcohol. Commonly, candidates drew isomers of \({{\text{C}}_{\text{4}}}{{\text{H}}_{\text{9}}}{\text{OH}}\) giving one primary structure and one secondary structure. Incorrect structures frequently had oxygen atoms connected to the molecule with single bonds but nothing else attached. Part (v) required candidates to identify the isomer which cannot be oxidized by acidified potassium dichromate solution. Many candidates correctly gave the formula and name of the tertiary alcohol. In (b)(vi) several candidates gave a correct equation for the combustion of alcohols but more usually one mark was scored for correct reactants and products and the mark for correct balancing was missed. Part (c) was on electrolysis. There were several poorly drawn electrolytic cells in (c)(i), sometimes even with the electrodes outside of the electrolyte, but most candidates managed a few marks and many candidates scored full marks. A significant number of candidates drew a voltaic cell with a salt bridge and a small minority had the battery terminals incorrectly connected or drew a voltmeter. The half-equations for electrode reactions were poorly done in (c)(ii) with several candidates again writing whole equations. The reduction of the potassium ion was often given at the anode and the oxidation of the bromide ion was seldom done well with many candidates writing a reduction half-equation for Br2. In (c)(iii) candidates described poorly how current is conducted in a molten electrolyte. The common response was that electrons are forced through the solution from the cathode to the anode. Many candidates deduced a correct order of reactivity for the metals listed in (d)(i) but the overall equation for the reaction occurring in a voltaic cell made from two of the metals was either done well or was completely wrong in (d)(ii).
This was another popular choice of question in Section B. In part (a) almost all candidates defined oxidation correctly. The oxidation number of chromium was mostly determined correctly in (b)(i), but only the better candidates could write the half-equation for the oxidation of the alcohol \({{\text{C}}_{\text{4}}}{{\text{H}}_{\text{9}}}{\text{OH}}\) in (b)(ii), even though the product was identified in the question as \({{\text{C}}_{\text{4}}}{{\text{H}}_{\text{8}}}{\text{O}}\). Subsequently the overall equation of the redox reaction in (b)(iii) was poorly answered. One respondent stated that balanced redox equations are not required. This is stated in 9.2.2. In (b)(iv), candidates who realized the product with molecular formula \({{\text{C}}_{\text{4}}}{{\text{H}}_{\text{8}}}{{\text{O}}_{\text{2}}}\) was an acid, deduced correct formulas of the two primary alcohols, though some did not read the question and gave the formulae for the acid and not the alcohol. Commonly, candidates drew isomers of \({{\text{C}}_{\text{4}}}{{\text{H}}_{\text{9}}}{\text{OH}}\) giving one primary structure and one secondary structure. Incorrect structures frequently had oxygen atoms connected to the molecule with single bonds but nothing else attached. Part (v) required candidates to identify the isomer which cannot be oxidized by acidified potassium dichromate solution. Many candidates correctly gave the formula and name of the tertiary alcohol. In (b)(vi) several candidates gave a correct equation for the combustion of alcohols but more usually one mark was scored for correct reactants and products and the mark for correct balancing was missed. Part (c) was on electrolysis. There were several poorly drawn electrolytic cells in (c)(i), sometimes even with the electrodes outside of the electrolyte, but most candidates managed a few marks and many candidates scored full marks. A significant number of candidates drew a voltaic cell with a salt bridge and a small minority had the battery terminals incorrectly connected or drew a voltmeter. The half-equations for electrode reactions were poorly done in (c)(ii) with several candidates again writing whole equations. The reduction of the potassium ion was often given at the anode and the oxidation of the bromide ion was seldom done well with many candidates writing a reduction half-equation for Br2. In (c)(iii) candidates described poorly how current is conducted in a molten electrolyte. The common response was that electrons are forced through the solution from the cathode to the anode. Many candidates deduced a correct order of reactivity for the metals listed in (d)(i) but the overall equation for the reaction occurring in a voltaic cell made from two of the metals was either done well or was completely wrong in (d)(ii).
Propane and propene are members of different homologous series.
Draw the full structural formulas of propane and propene.
Both propane and propene react with bromine.
(i) State an equation and the condition required for the reaction of 1 mol of propane with 1 mol of bromine.
(ii) State an equation for the reaction of 1 mol of propene with 1 mol of bromine.
(iii) State the type of each reaction with bromine.
Propane:
Propene:
Markscheme
Propane:
AND
Propene:
i
C3H8 + Br2 → C3H7Br + HBr
«sun»light/UV/hv
OR
high temperature
Do not accept “reflux” for M2.
ii
C3H6 + Br2 → C3H6Br2
iii
Propane: «free radical» substitution / SR
AND
Propene: «electrophilic» addition / AE
Award mark even if incorrect type of substitution/ addition given.
Examiners report
The structure of an organic molecule can help predict the type of reaction it can undergo.
Improvements in instrumentation have made identification of organic compounds routine.
The empirical formula of an unknown compound containing a phenyl group was found to be C4H4O. The molecular ion peak in its mass spectrum appears at m/z = 136.
The Kekulé structure of benzene suggests it should readily undergo addition reactions.

Discuss two pieces of evidence, one physical and one chemical, which suggest this is not the structure of benzene.
Formulate the ionic equation for the oxidation of propan-1-ol to the corresponding aldehyde by acidified dichromate(VI) ions. Use section 24 of the data booklet.
The aldehyde can be further oxidized to a carboxylic acid.
Outline how the experimental procedures differ for the synthesis of the aldehyde and the carboxylic acid.
Deduce the molecular formula of the compound.
Identify the bonds causing peaks A and B in the IR spectrum of the unknown compound using section 26 of the data booklet.

Deduce full structural formulas of two possible isomers of the unknown compound, both of which are esters.
Deduce the formula of the unknown compound based on its 1H NMR spectrum using section 27 of the data booklet.

Markscheme
Physical evidence:
equal C–C bond «lengths/strengths»
OR
regular hexagon
OR
«all» C–C have bond order of 1.5
OR
«all» C–C intermediate between single and double bonds
Chemical evidence:
undergoes substitution reaction «more readily than addition»
OR
does not discolour/react with bromine water
OR
substitution forms only one isomer for 1,2-disubstitution «presence of alternate double bonds would form two isomers»
OR
more stable than expected «compared to hypothetical molecule cyclohexa-1,3,5-triene»
OR
enthalpy change of hydrogenation/combustion is less exothermic than predicted «for cyclohexa-1,3,5-triene»
M1:
Accept “all C–C–C bond angles are equal”.
[2 marks]
3CH3CH2CH2OH(l) + Cr2O72–(aq) + 8H+(aq) → 3CH3CH2CHO(aq) + 2Cr3+(aq) + 7H2O(l)
correct reactants and products
balanced equation
[2 marks]
Aldehyde:
by distillation «removed from reaction mixture as soon as formed»
Carboxylic acid:
«heat mixture under» reflux «to achieve complete oxidation to –COOH»
Accept clear diagrams or descriptions of the processes.
[2 marks]
«\(\frac{{136}}{{48 + 4 + 16}} = 2\)»
C8H8O2
[1 mark]
A: C–H «in alkanes, alkenes, arenes»
AND
B: C=O «in aldehydes, ketones, carboxylic acids and esters»
[1 mark]
Any two of:
OR C6H5COOCH3
OR CH3COOC6H5
OR HCOOCH2C6H5
Do not penalize use of Kekule structures for the phenyl group.
Accept the following structures:

Award [1 max] for two correct aliphatic/linear esters with the molecular formula C8H8O2.
[2 marks]
C6H5COOCH3 «signal at 4 ppm (3.7 – 4.8 range in data table) due to alkyl group on ester
[1 mark]
Examiners report
The reactivity of organic compounds depends on the nature and positions of their functional groups.
The structural formulas of two organic compounds are shown below.
Deduce the type of chemical reaction and the reagents used to distinguish between these compounds.
State the observation expected for each reaction giving your reasons.
Deduce the number of signals and the ratio of areas under the signals in the 1H NMR spectra of the two compounds.
Explain, with the help of equations, the mechanism of the free-radical substitution reaction of ethane with bromine in presence of sunlight.
Markscheme
oxidation/redox AND acidified «potassium» dichromate(VI)
OR
oxidation/redox AND «acidified potassium» manganate(VII)
Accept “acidified «potassium» dichromate” OR “«acidified potassium» permanganate”.
Accept name or formula of the reagent(s).
ALTERNATIVE 1 using K2Cr2O7:
Compound A: orange to green AND secondary hydroxyl
OR
Compound A: orange to green AND hydroxyl oxidized «by chromium(VI) ions»
Compound B: no change AND tertiary hydroxyl «not oxidized by chromium(VI) ions»
Award [1] for “A: orange to green AND B: no change”.
Award [1] for “A: secondary hydroxyl AND B: tertiary hydroxyl”.
ALTERNATIVE 2 using KMnO4:
Compound A: purple to colourless AND secondary hydroxyl
OR
Compound A: purple to colourless AND hydroxyl oxidized «by manganese(VII) ions»
Compound B: no change AND tertiary hydroxyl «not oxidized by manganese(VII) ions»
Accept “alcohol” for “hydroxyl”.
Award [1] for “A: purple to colourless AND B: no change”
Award [1] for “A: secondary hydroxyl AND B: tertiary hydroxyl”.
Accept “purple to brown” for A.
Accept ratio of areas in any order.
Do not apply ECF for ratios.
Initiation:
Br2 2Br•
Propagation:
Br• + C2H6 → C2H5• + HBr
C2H5• + Br2 → C2H5Br + Br•
Termination:
Br• + Br• → Br2
OR
C2H5• + Br• → C2H5Br
OR
C2H5• + C2H5• → C4H10
Reference to UV/hν/heat not required.
Accept representation of radical without • (eg, Br, C2H5) if consistent throughout mechanism.
Accept further bromination.
Award [3 max] if initiation, propagation and termination are not stated or are incorrectly labelled for equations.
Award [3 max] if methane is used instead of ethane, and/or chlorine is used instead of bromine.
Examiners report
This question is about carbon and chlorine compounds.
Ethane, C2H6, reacts with chlorine in sunlight. State the type of this reaction and the name of the mechanism by which it occurs.
Formulate equations for the two propagation steps and one termination step in the formation of chloroethane from ethane.
One possible product, X, of the reaction of ethane with chlorine has the following composition by mass:
carbon: 24.27%, hydrogen: 4.08%, chlorine: 71.65%
Determine the empirical formula of the product.
The mass and 1H\(\,\)NMR spectra of product X are shown below. Deduce, giving your reasons, its structural formula and hence the name of the compound.
Chloroethene, C2H3Cl, can undergo polymerization. Draw a section of the polymer with three repeating units.
Markscheme
substitution AND «free-»radical
OR
substitution AND chain
Award [1] for “«free-»radical substitution” or “SR” written anywhere in the answer.
[1 mark]
Two propagation steps:
C2H6 + •Cl → C2H5• + HCl
C2H5• + Cl2 → C2H5Cl + •Cl
One termination step:
C2H5• + C2H5• → C4H10
OR
C2H5• + •Cl → C2H5Cl
OR
•Cl + •Cl → Cl2
Accept radical without • if consistent throughout.
Allow ECF from incorrect radicals produced in propagation step for M3.
[3 marks]
\({\text{C}} = \frac{{24.27}}{{12.01}}\) = 2.021 AND \({\text{H}} = \frac{{4.08}}{{1.01}}\) = 4.04 AND \({\text{Cl}} = \frac{{71.65}}{{35.45}} = 2.021\)
«hence» CH2Cl
Accept \(\frac{{24.27}}{{12.01}}\) : \(\frac{{4.08}}{{1.01}}\) : \(\frac{{71.65}}{{35.45}}.\)
Do not accept C2H4Cl2.
Award [2] for correct final answer.
[2 marks]
molecular ion peak(s) «about» m/z 100 AND «so» C2H4Cl2 «isotopes of Cl»
two signals «in 1H\(\,\)NMR spectrum» AND «so» CH3CHCl2
OR
«signals in» 3:1 ratio «in 1H\(\,\)NMR spectrum» AND «so» CH3CHCl2
OR
one doublet and one quartet «in 1H\(\,\)NMR spectrum» AND «so» CH3CHCl2
1,1-dichloroethane
Accept “peaks” for “signals”.
Allow ECF for a correct name for M3 if an incorrect chlorohydrocarbon is identified
[3 marks]
Continuation bonds must be shown.
Ignore square brackets and “n”.
Accept
.
Accept other versions of the polymer, such as head to head and head to tail.
Accept condensed structure provided all C to C bonds are shown (as single).
[1 mark]
Examiners report
Alkenes are widely used in the production of polymers. The compound A, shown below, is used in the manufacture of synthetic rubber.
(i) State the name, applying IUPAC rules, of compound A.
(ii) Draw a section, showing three repeating units, of the polymer that can be formed from compound A.
(iii) Compound A is flammable. Formulate the equation for its complete combustion.
Compound B is related to compound A.
(i) State the term that is used to describe molecules that are related to each other in the same way as compound A and compound B.
(ii) Suggest a chemical test to distinguish between compound A and compound B, giving the observation you would expect for each.
Test:
Observation with A:
Observation with B:
(iii) Spectroscopic methods could also be used to distinguish between compounds A and B.
Predict one difference in the IR spectra and one difference in the 1H NMR spectra of these compounds, using sections 26 and 27 of the data booklet.
IR spectra:
1H NMR spectra:
A sample of compound A was prepared in which the 12C in the CH2 group was replaced by 13C.
(i) State the main difference between the mass spectrum of this sample and that of normal compound A.
(ii) State the structure of the nucleus and the orbital diagram of 13C in its ground state.
Draw a 1s atomic orbital and a 2p atomic orbital.
Markscheme
(i)
methylpropene
(ii)
−CH2−C(CH3)2−CH2−C(CH3)2−CH2−C(CH3)2−
Must have continuation bonds at both ends.
Accept any orientation of the monomers, which could give methyl side-chains on neighbouring atoms etc.
(iii)
C4H8 (g) + 6O2 (g) → 4CO2 (g) + 4H2O(l)
(i)
«structural/functional group» isomer«s»
(ii)
Test:
«react with» bromine/Br2 «in the dark»
OR
«react with» bromine water/Br2 (aq) «in the dark»
IR: A would absorb at 1620–1680cm−1 AND B would not
1H NMR: A would have 2 signals AND B would have 1 signal
OR
A would have a signal at 4.5–6.0 ppm AND B would not
OR
A would have a signal at 0.9–1.0 ppm AND B would not
OR
B would have a signal at 1.3–1.4 ppm AND A would not
Accept “peak” for “signal”.
Award [1 max] if students have a correct assignation of a signal, but no comparison, for both IR and NMR.
Accept “B would have a signal at 2.0 ppm” as shown in its 1H NMR spectrum.
(i)
«molecular ion» peak at «m/z =» 57, «not 56»
OR
«molecular ion» peak at one «m/z» higher
OR
will not have a «large» peak at 56
Accept a peak at m/z one greater than the 12C one for any likely fragment.
(ii)
protons: 6 AND neutrons: 7
Accept full arrows.
Accept p orbitals aligned on y− and z−axes, or diagrams correctly showing all three p-orbitals.
Do not accept p-orbitals without a node.